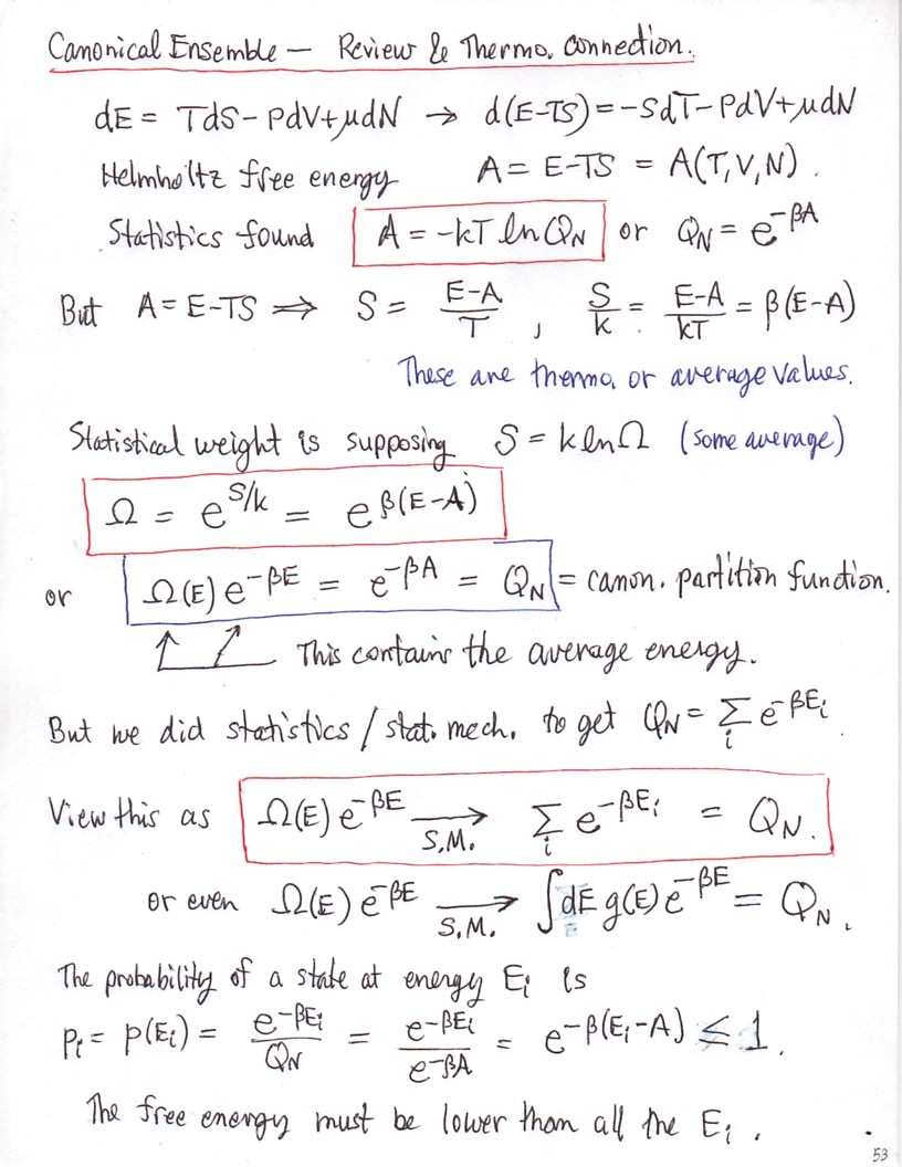
Canonical and other ensembles (Pathria & Beale Ch. 3)
Overview of canonical, iso-thermal/isobaric and grand canonical ensembles.