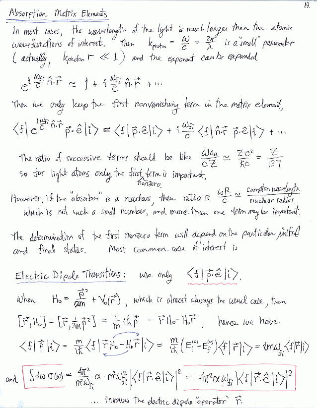
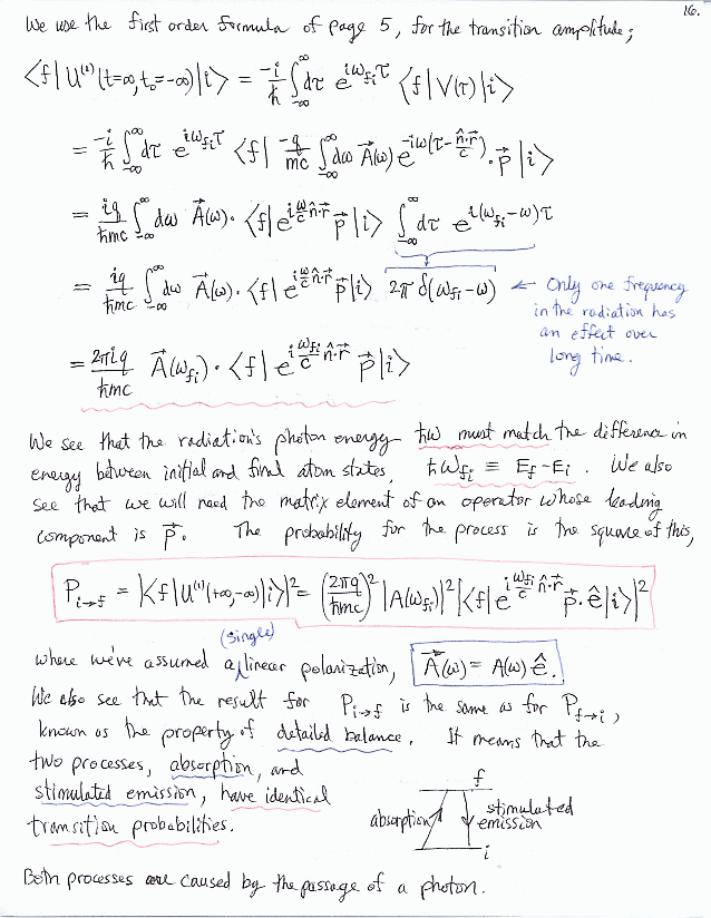
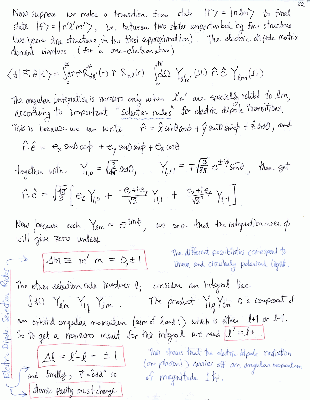
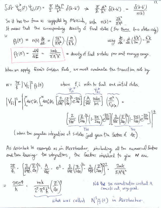
Chapter 19
Time-Dependent Perturbation Theory, Fermi's Golden Rule, Radiative Perturbations
(Merzbacher Ch. 19)