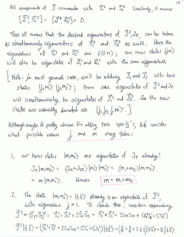
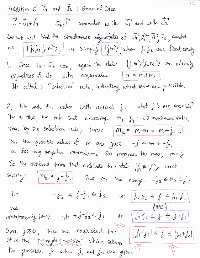
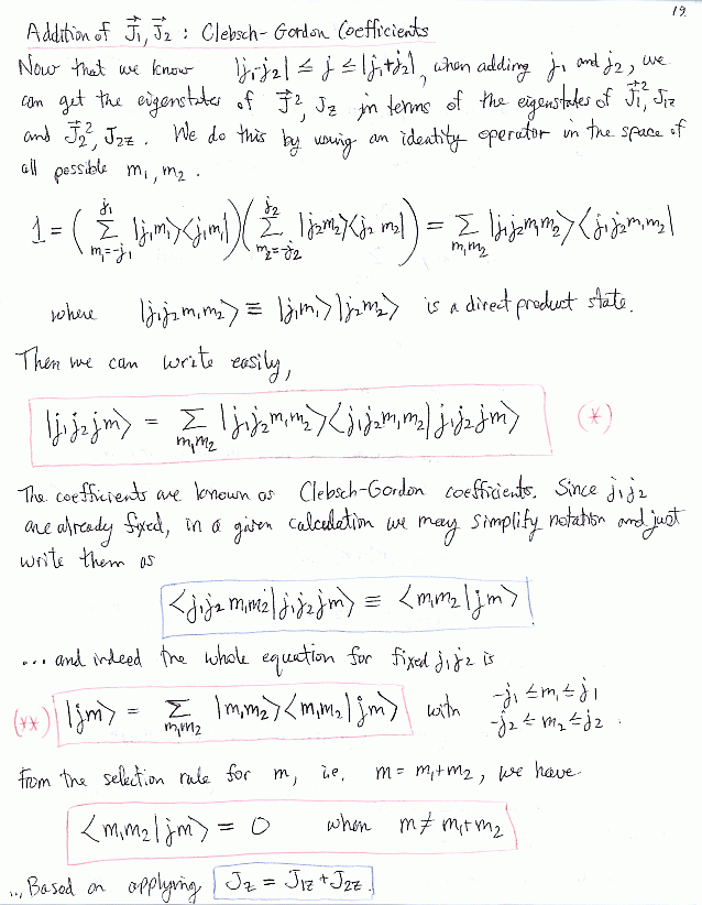
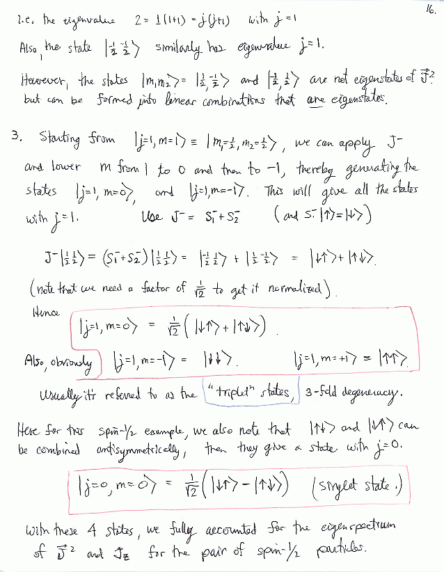
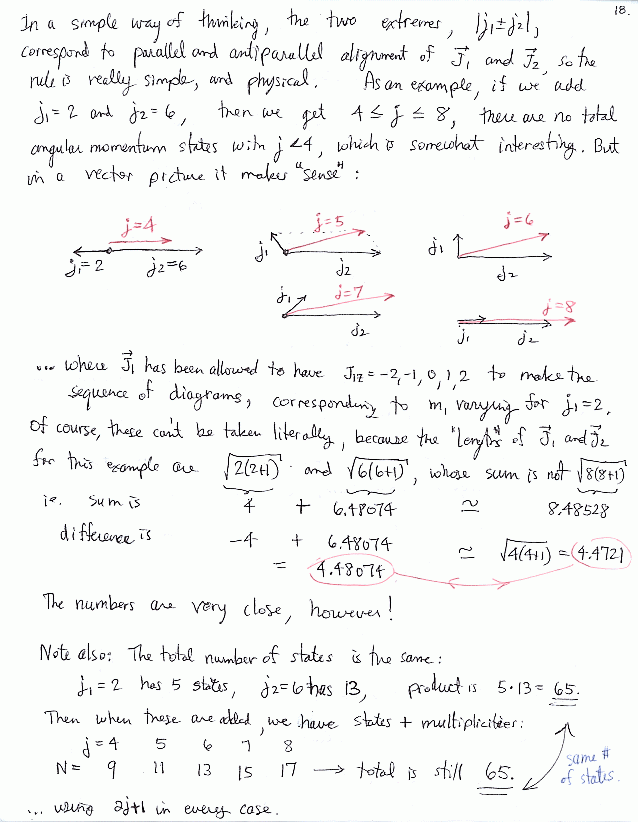
Chapter 17
Theory of Symmetry Groups: Tenosr Operators, Addition of Angular Momenta
(Merzbacher Ch. 17)