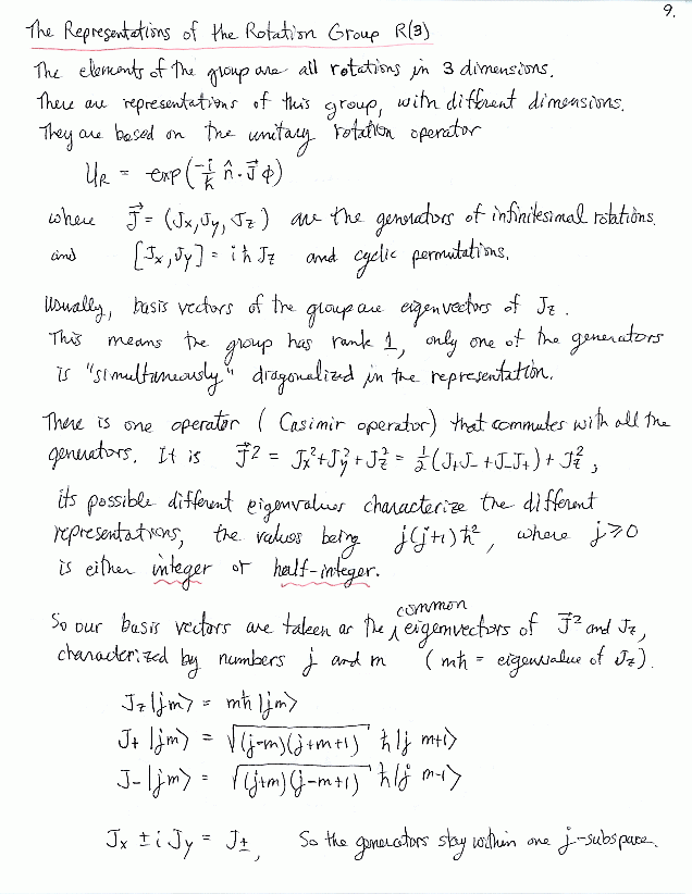
Chapter 17
Theory of Symmetry Groups: Rotations, Angular Momentum, Other Symmetries
(Merzbacher Ch. 17)