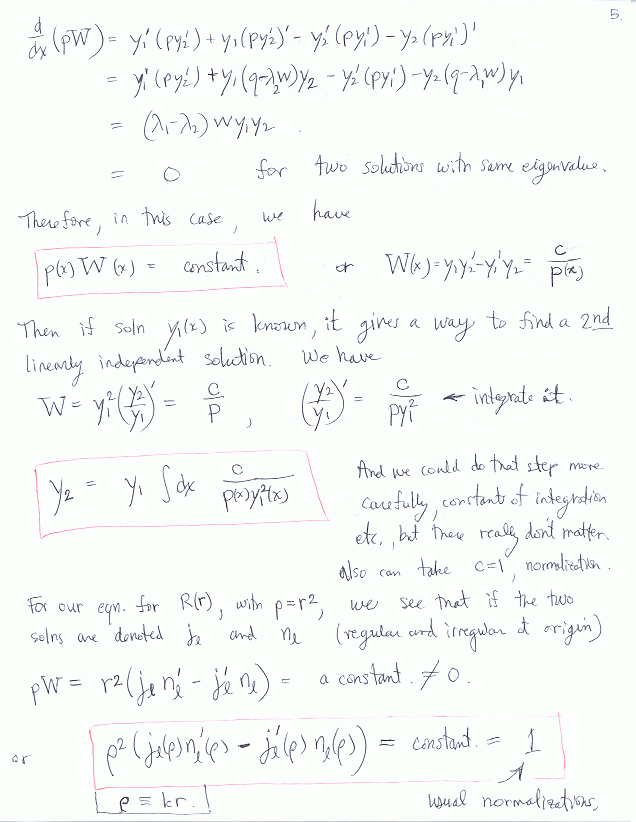
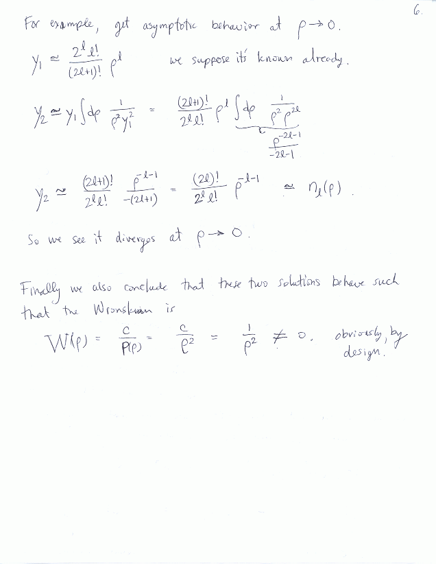
Sturm: Sturm-Liouvile Self-Adjoint Differential Equations and Operators
(Merzbacher Ch. 12)