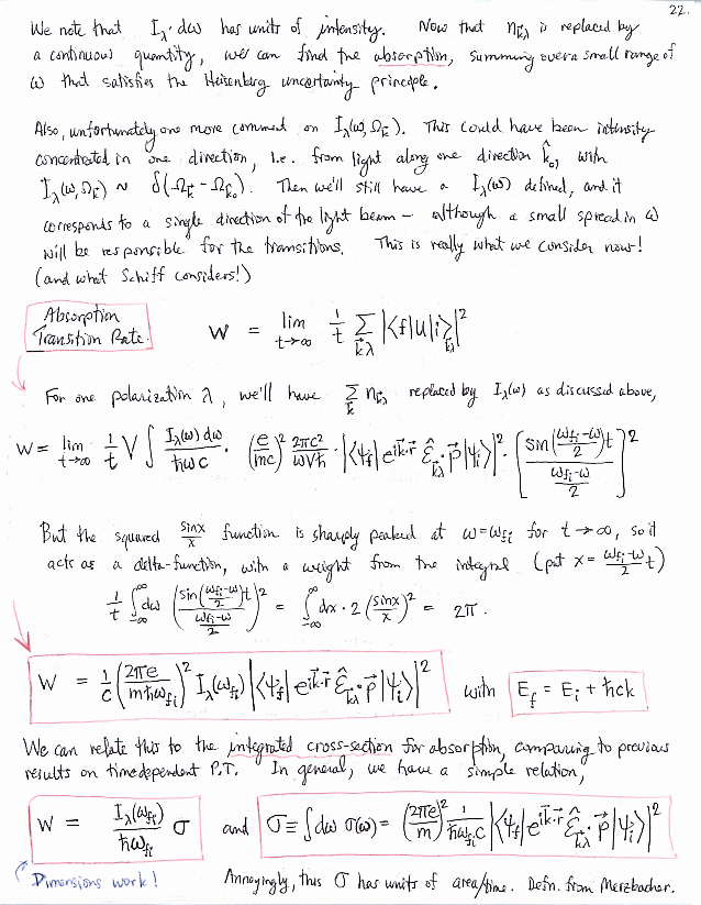
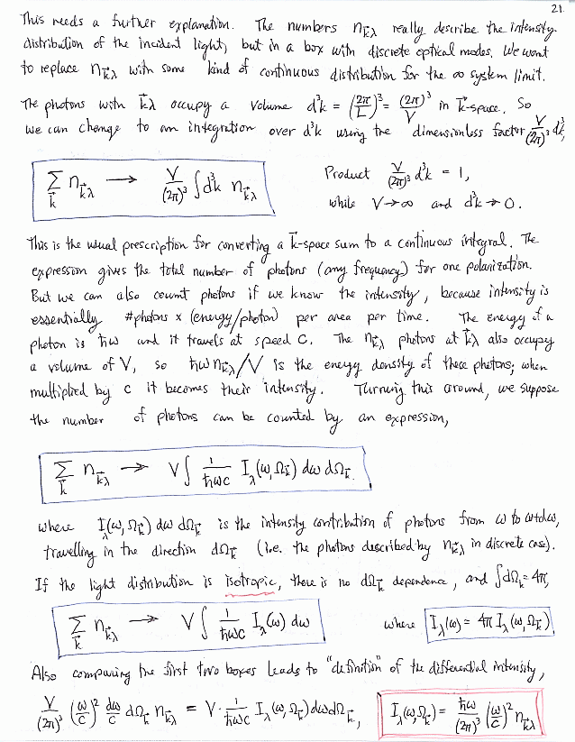
Chapter 23
Photons and Quantized Electromagnetic Fields
(Merzbacher Ch. 23)


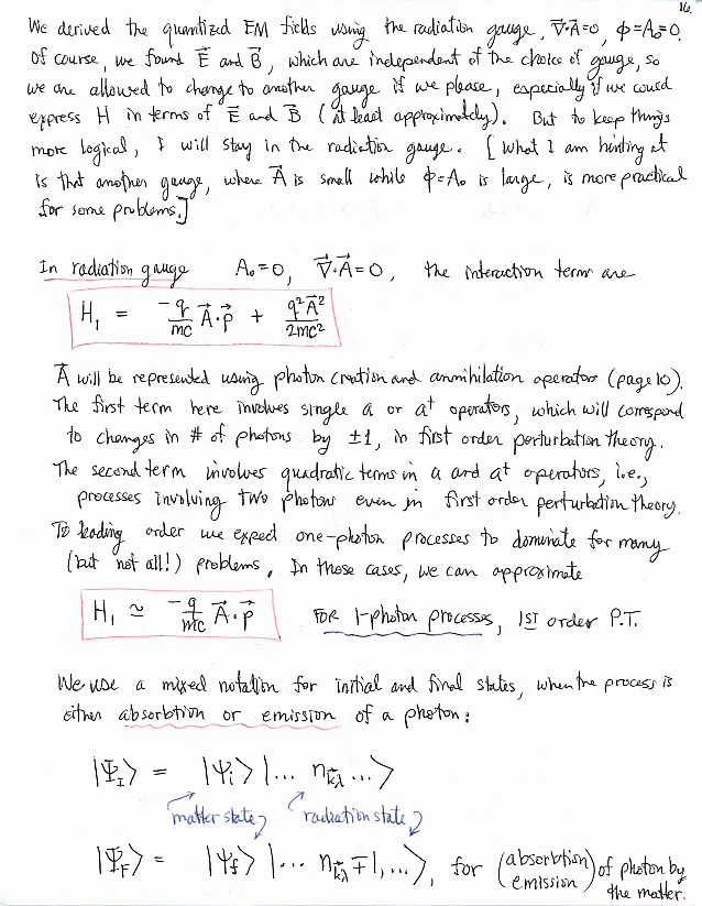
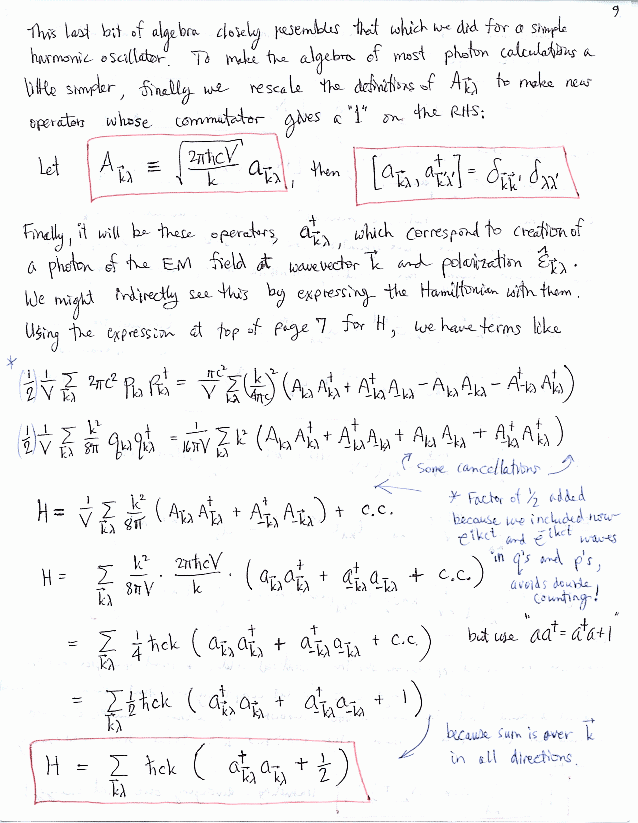
Now maybe you can do the homework! Although you may need to work out something for 2-photon processes on your own, being sure to include the possible effects of A^2 and second order perturbation on H_1.