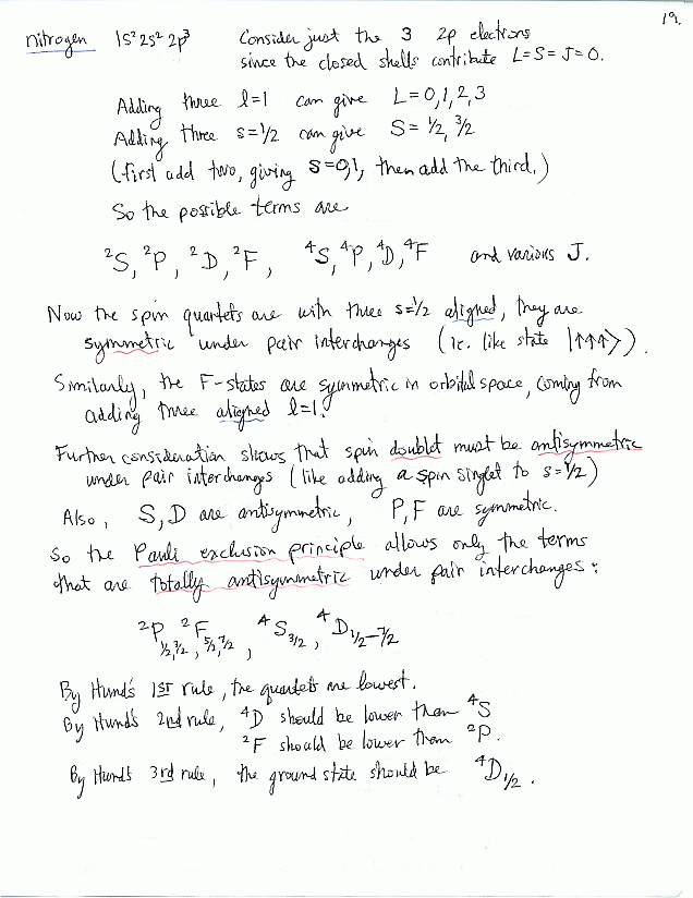
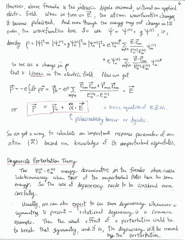
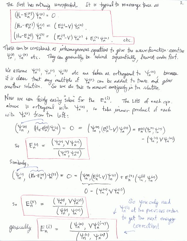
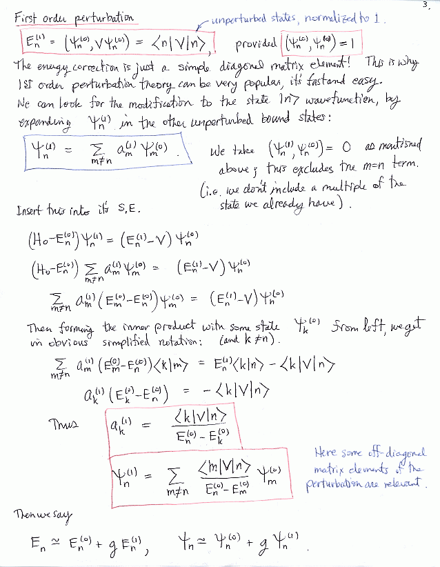
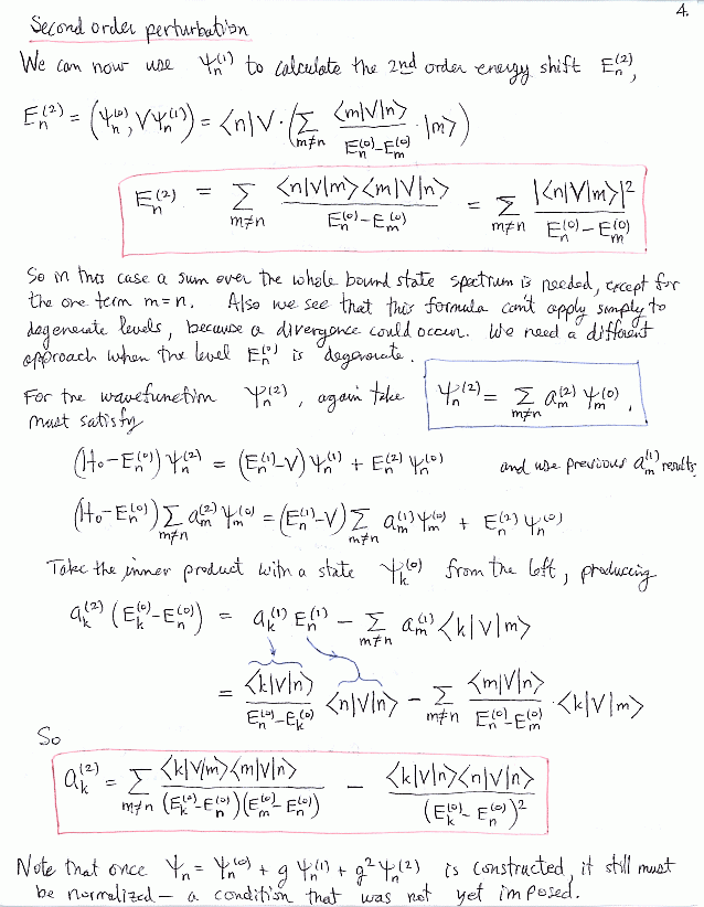
Chapter 18
Perturbation Theory for Bound States
(Merzbacher Ch. 18)