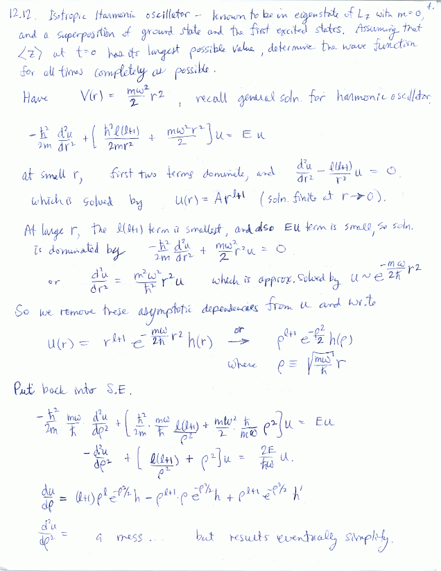
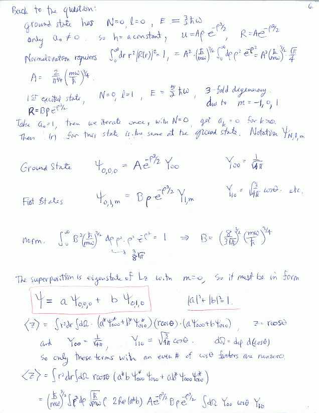
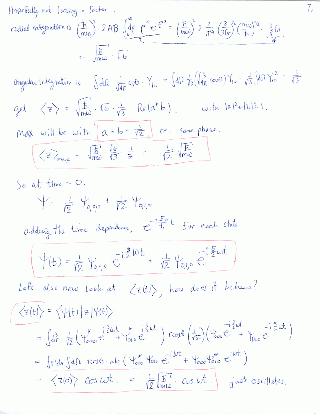
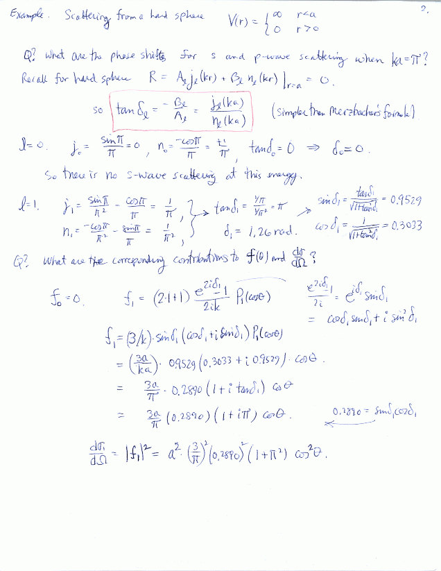
Partial Review of Chapter 12
Central Potential Problems in Quantum Mechanics
(Merzbacher Ch. 12)



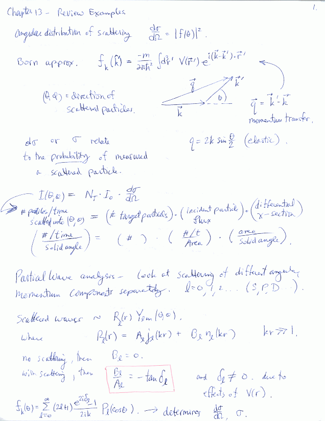
Partial Review of Chapter 13
Introduction to Scattering Problems in Quantum Mechanics
(Merzbacher Ch. 13)