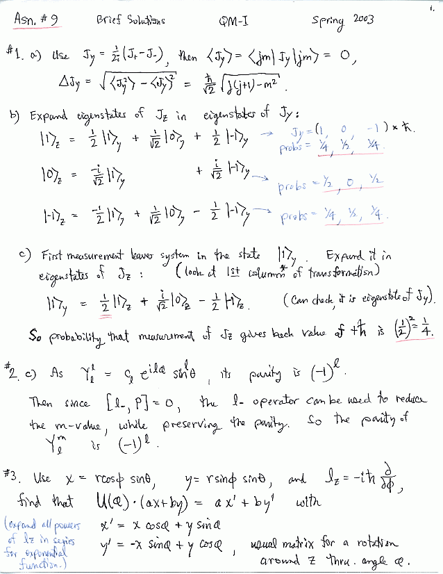
Assignment 9
Brief Solutions