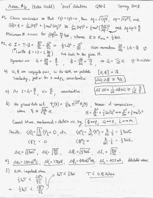
Assignment 6
Brief Solutions