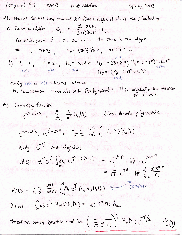
Assignment 5
Brief Solutions