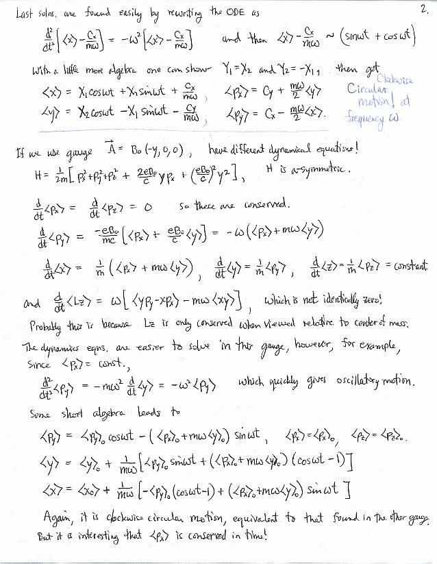
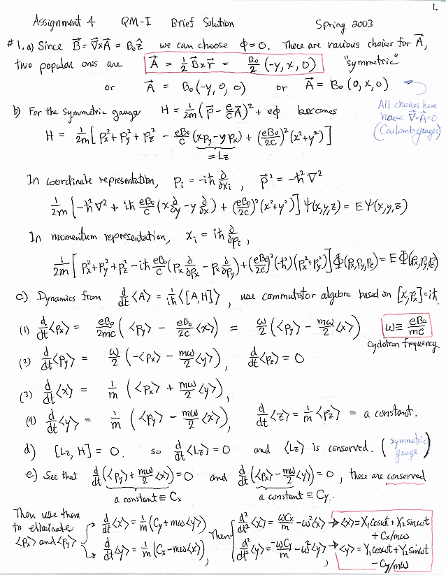
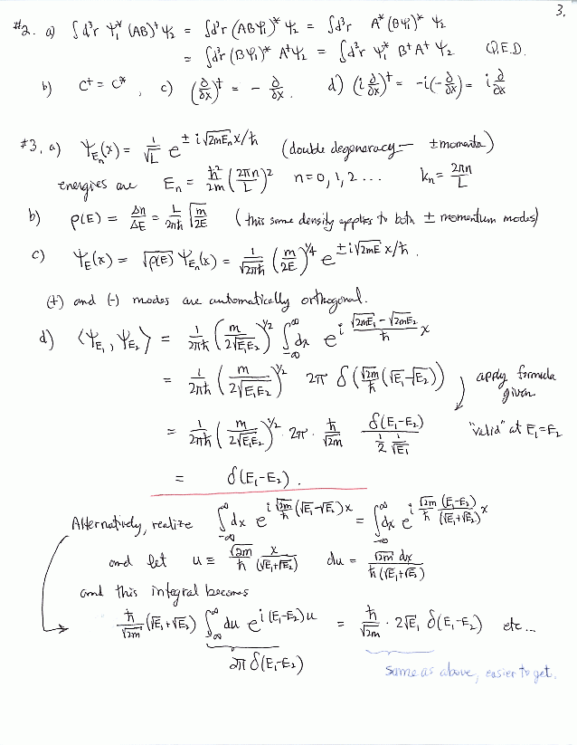
Assignment 4
Brief Solutions