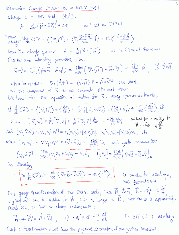
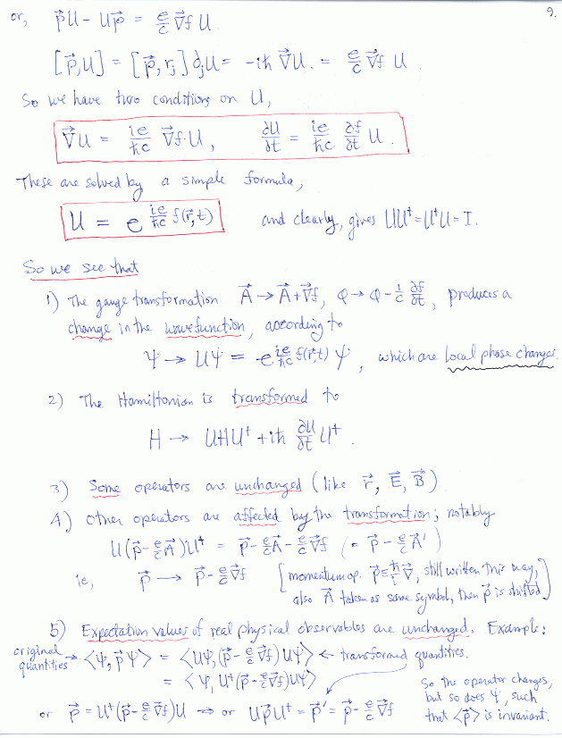
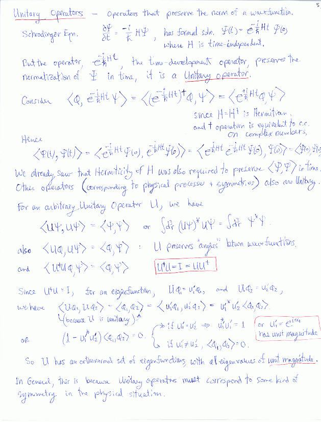
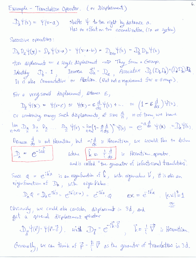
Unitary: The Formalism of Quantum Mechanics.
Unitary Operators, Gauge Invariance (Merzbacher, Ch. 4)