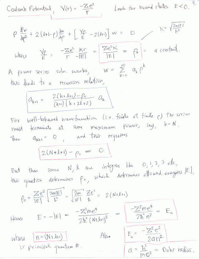
Spherical: Central Potential Problems in Quantum Mechanics,
Hydrogen Atom (Merzbacher Ch. 12)