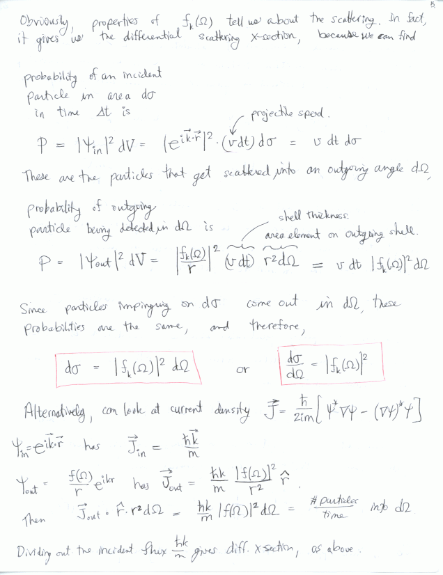
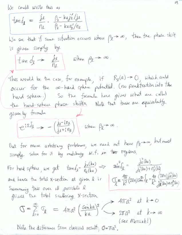
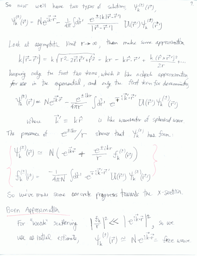
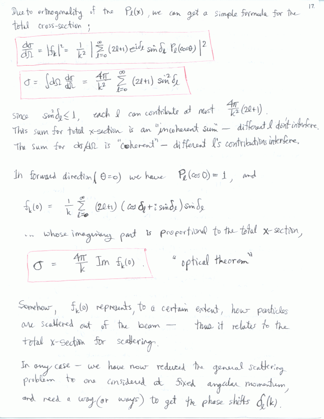
Chapter 13
Introduction to Scattering Problems in Quantum Mechanics
(Merzbacher Ch. 13)