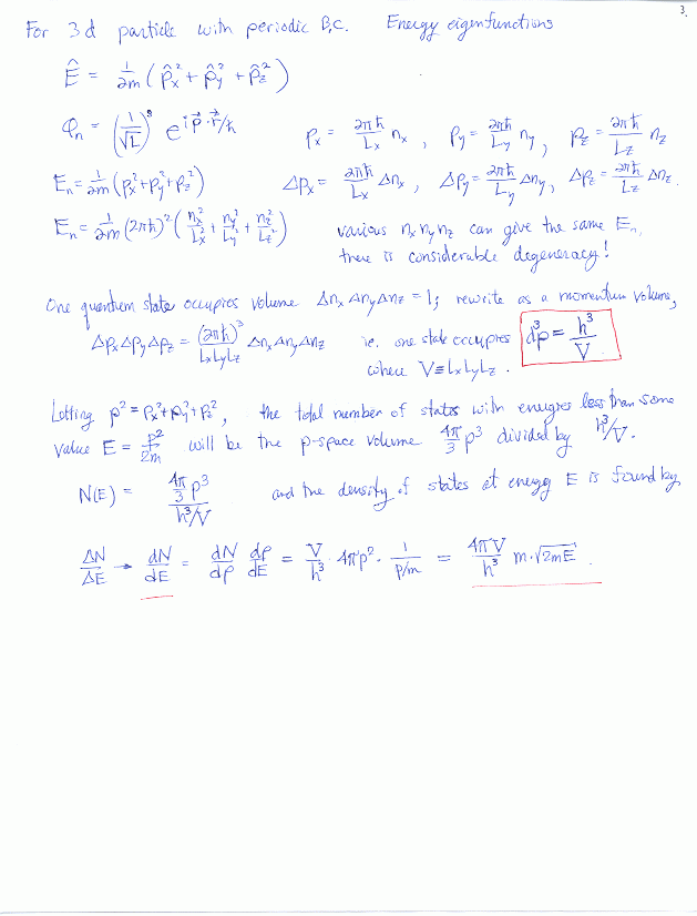
Spectra: The Formalism of Quantum Mechanics.
Continuum Spectrum Example (Merzbacher, Ch. 4)