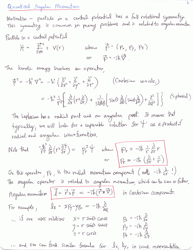
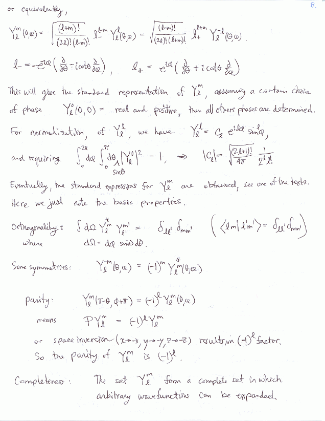
Angular: Angular Momentum in Quantum Mechanics
(Merzbacher Ch. 11, Messiah, Ch. XIII)