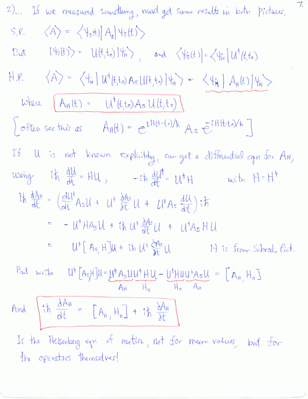
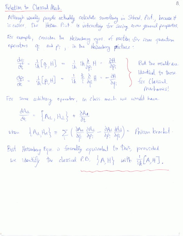
Measure: General QM Formalism: Physical Interpretation and Content
(Merzbacher Ch. 9, Messiah, Ch. VIII)