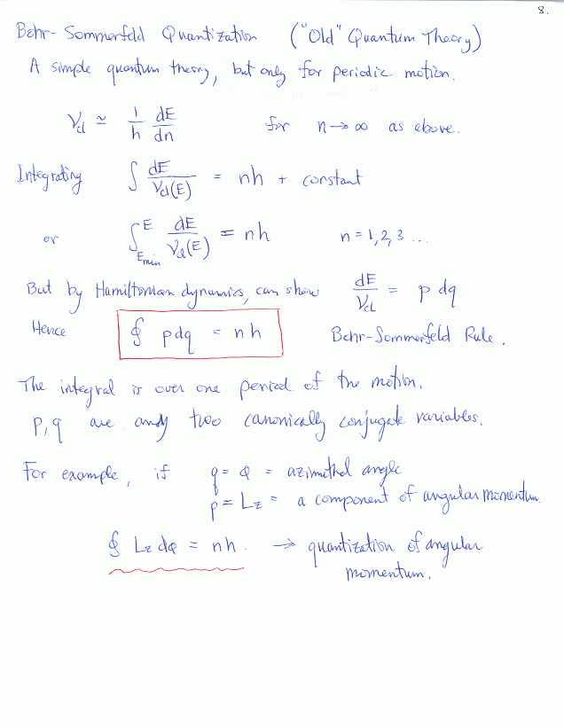
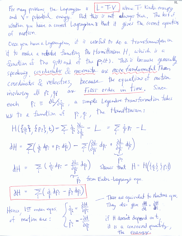
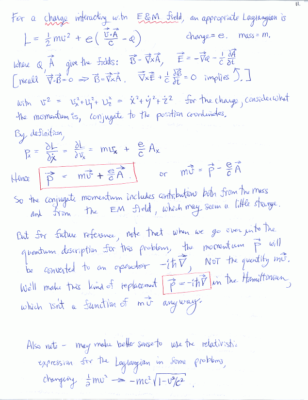
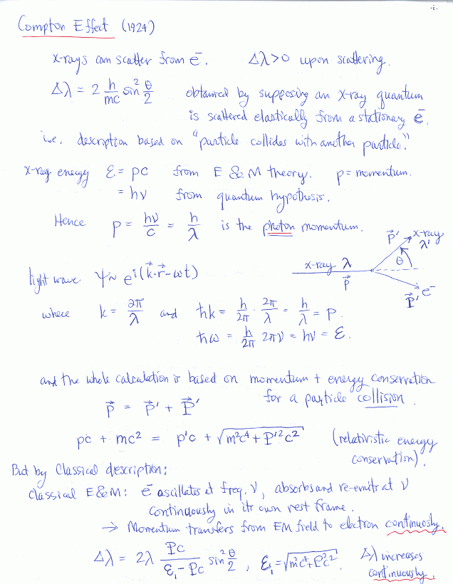
Beginnings: The End of Classical Physics and Beginnings of Quantum Physics
Relations to Classical Mechanics and Electrodynamics
(Messiah, Ch. I)