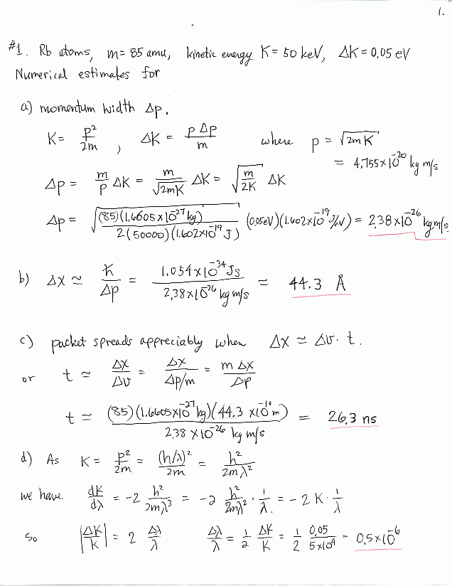
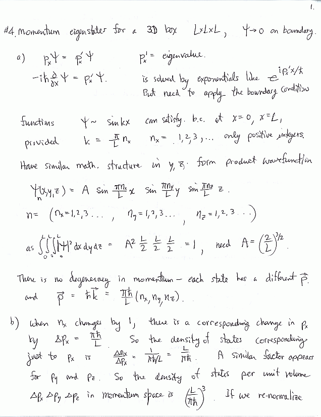
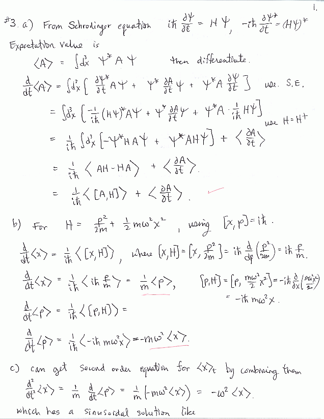
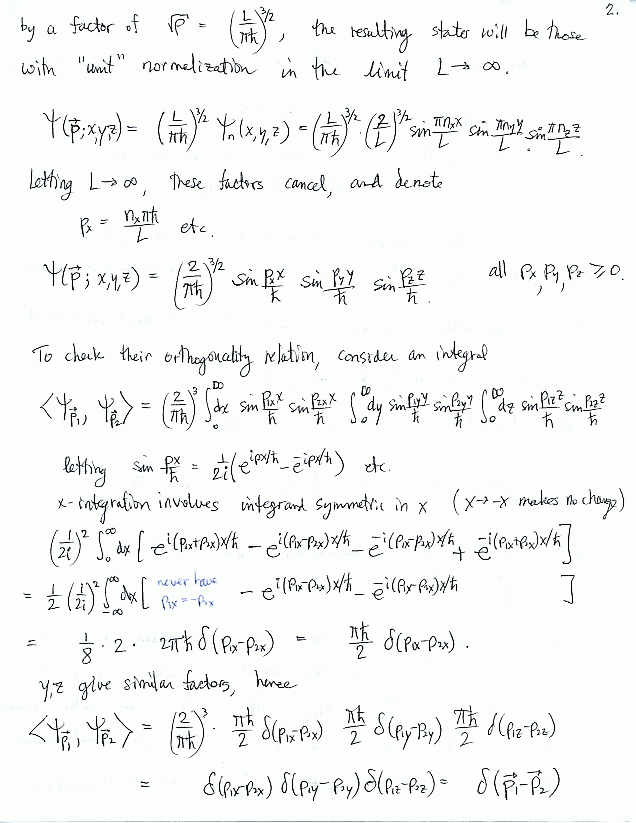
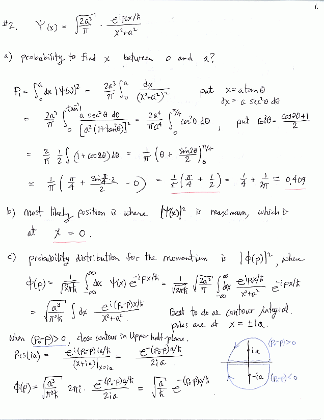
2002 Midterm Exam Solution