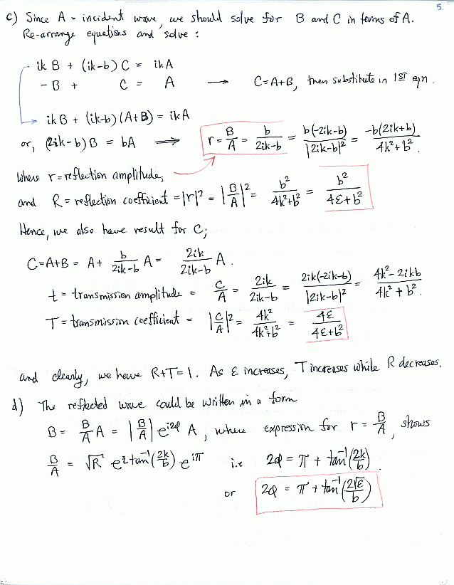
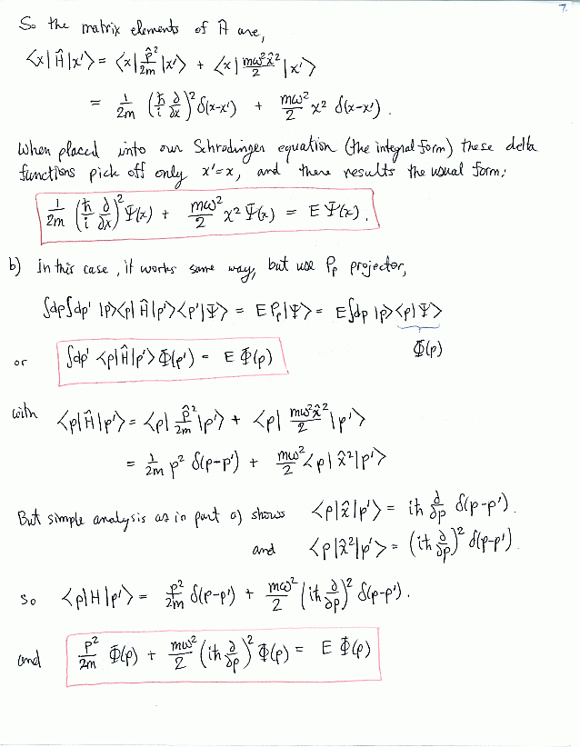
2001 Midterm Exam Solution