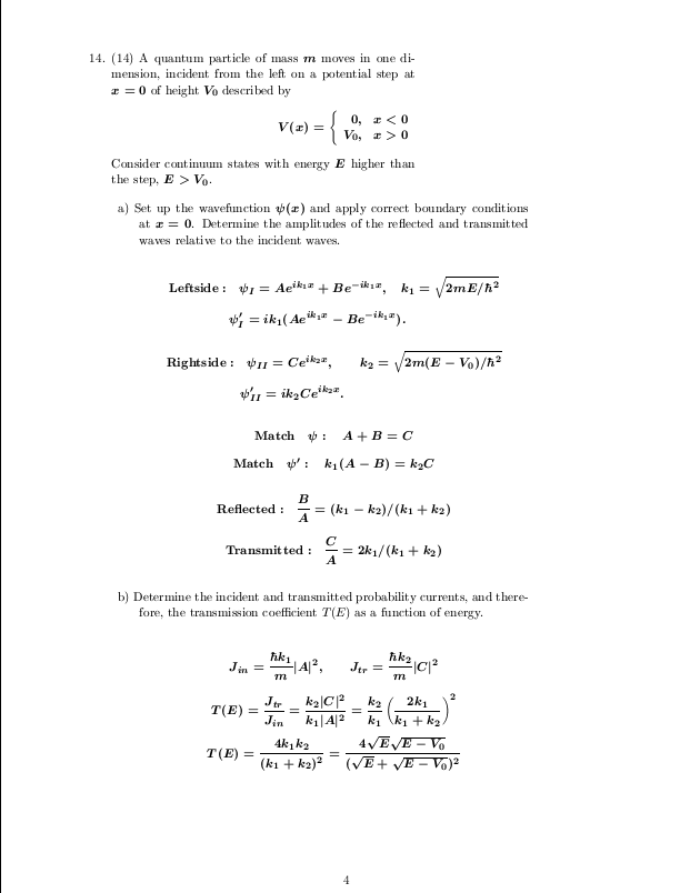
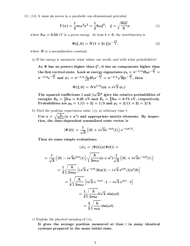
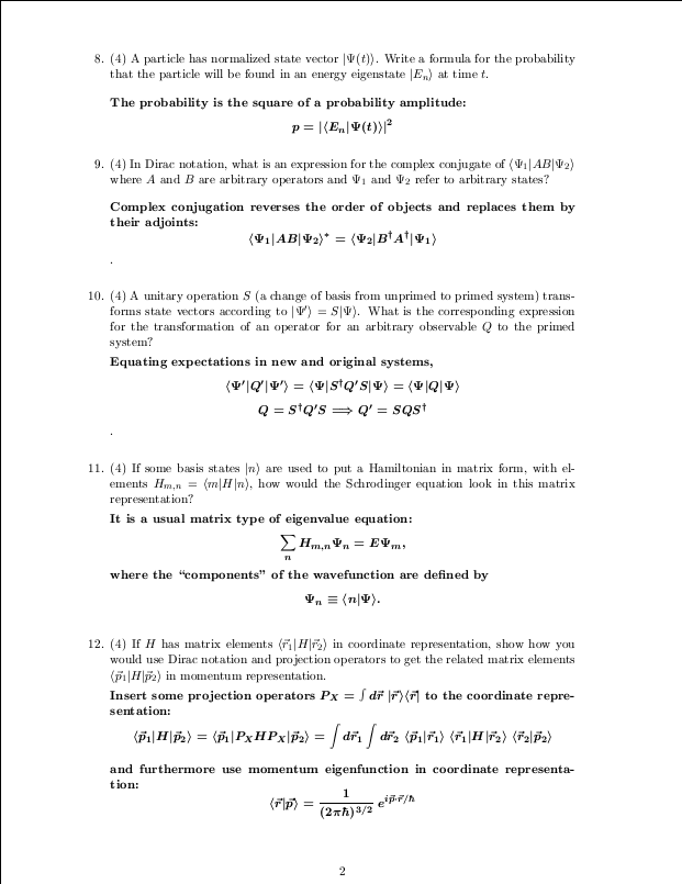
2003 Final Exam Solution