Similarity Transformations and an Example

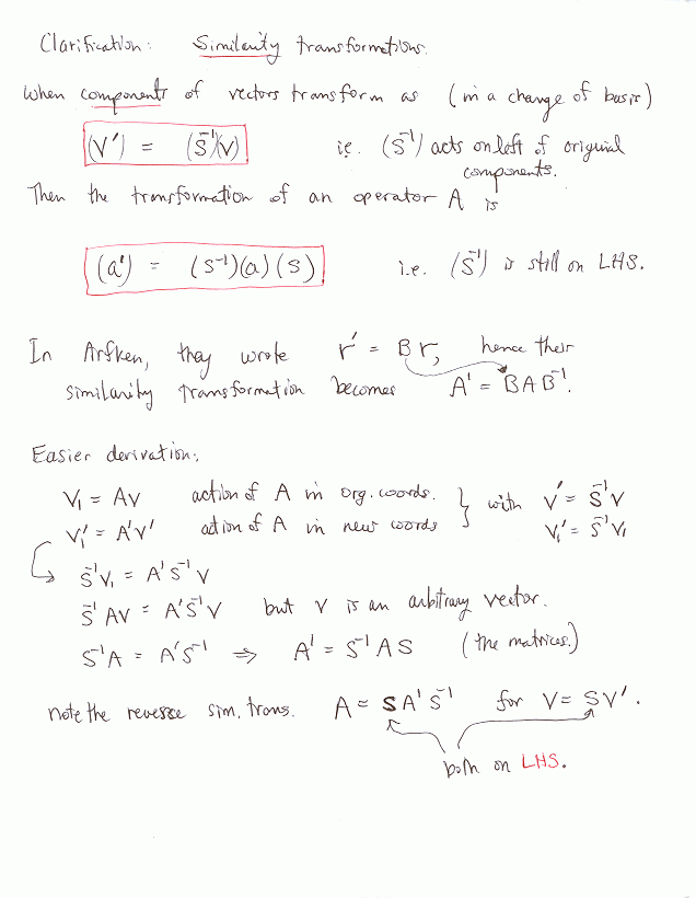
Clarification of similarity transformation,

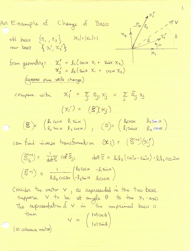
Example: change of basis and S-matrix,

Example: transformation of a vector,

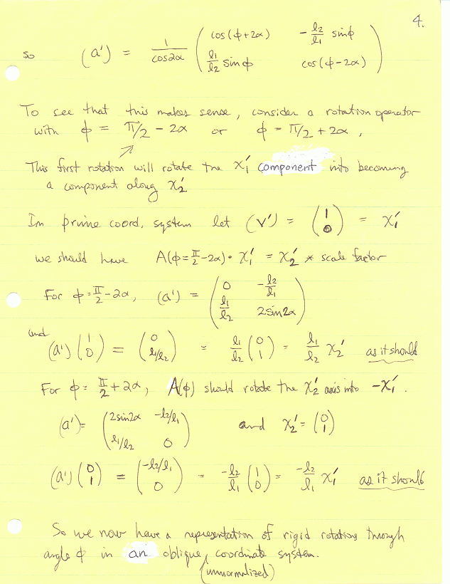
Example: transformation of an operator matrix,

Example: check the transformed operator matrix,