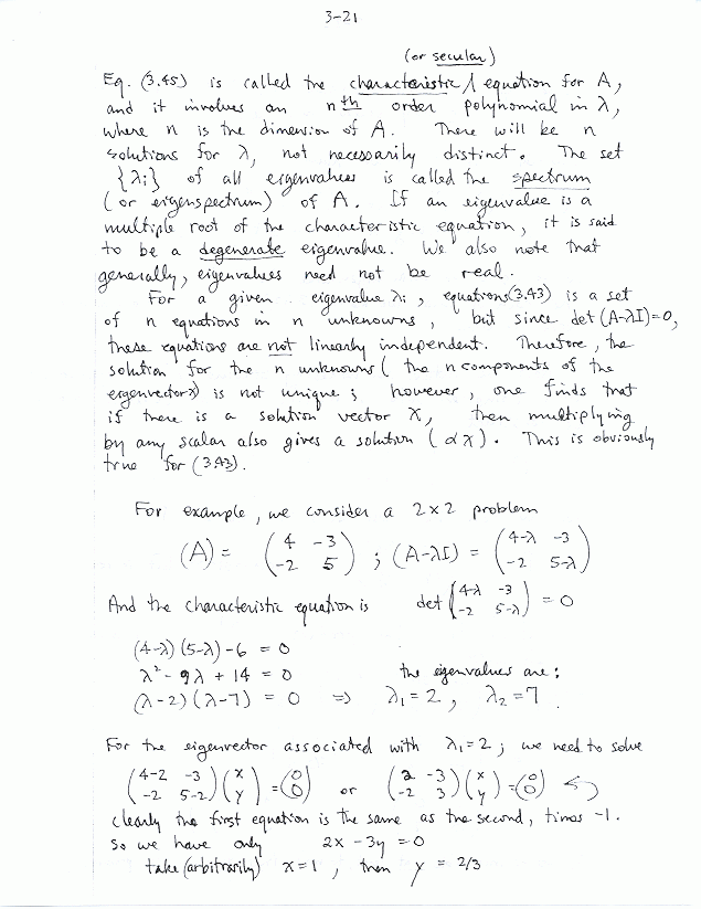
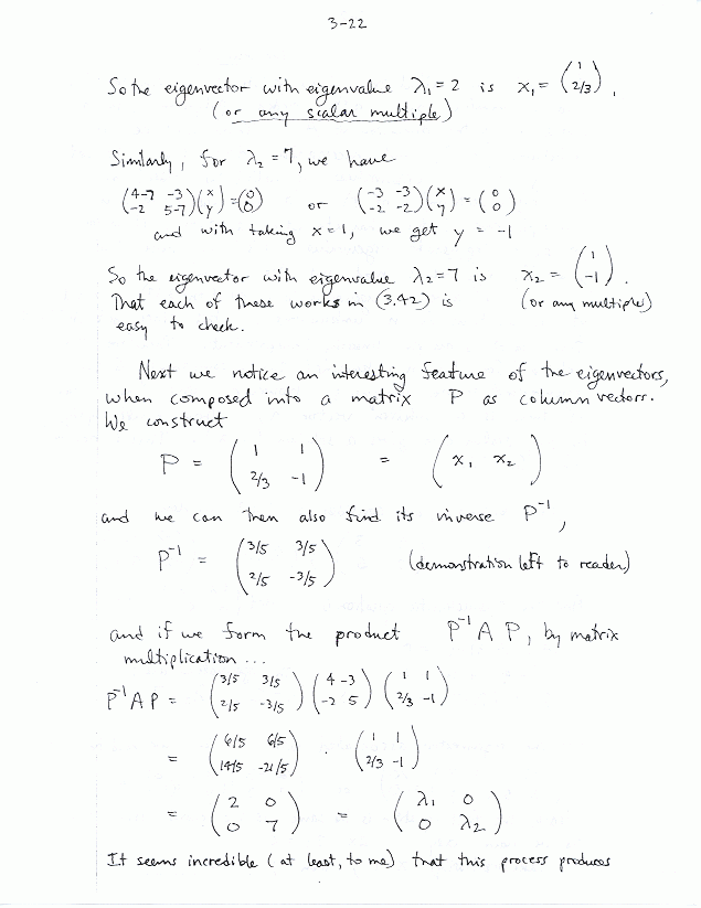
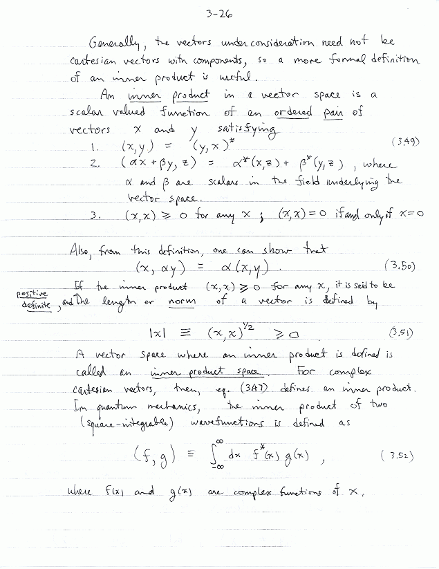
EigenValues, EigenVectors, and Orthogonality