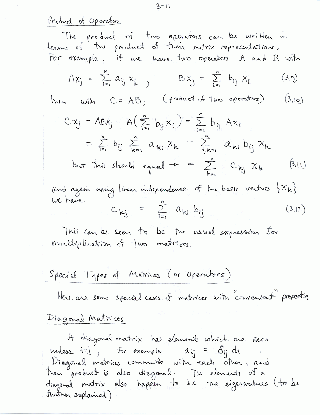
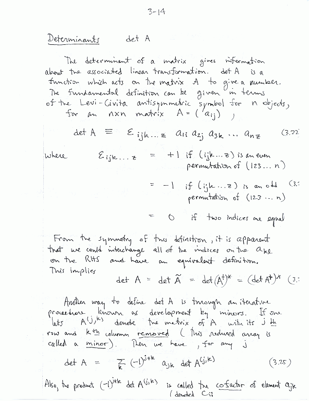
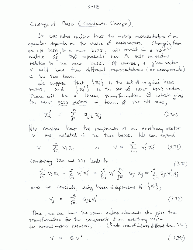
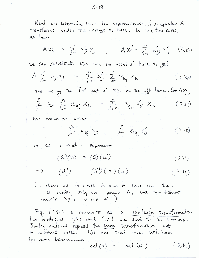
Matrix Propoerties and Operations