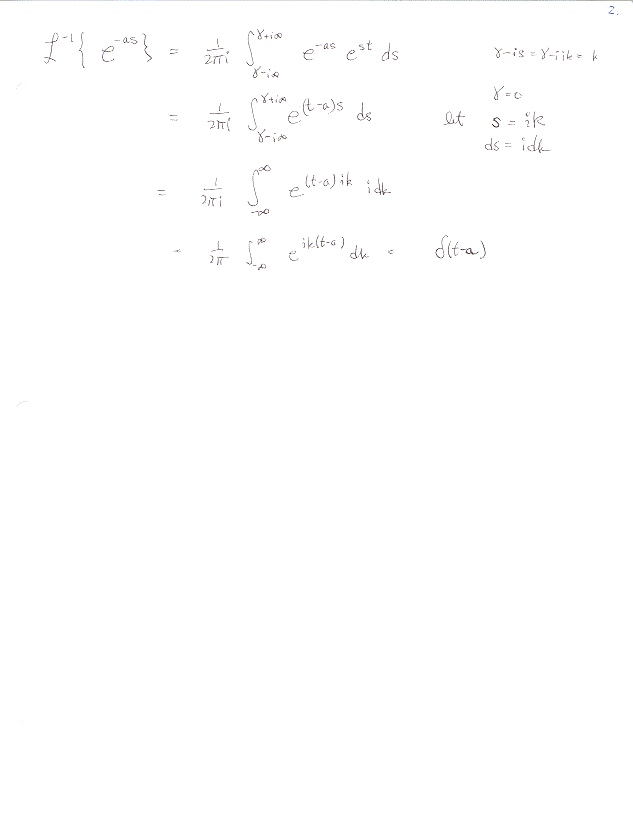
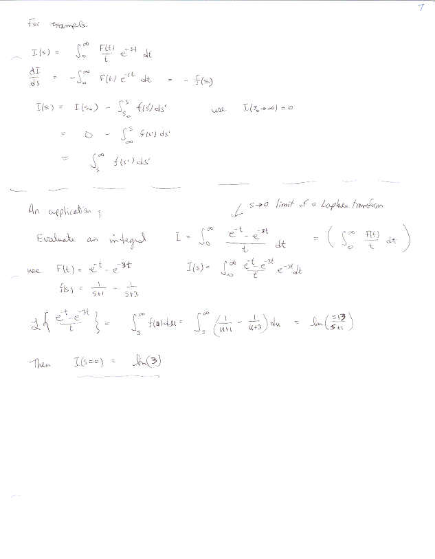
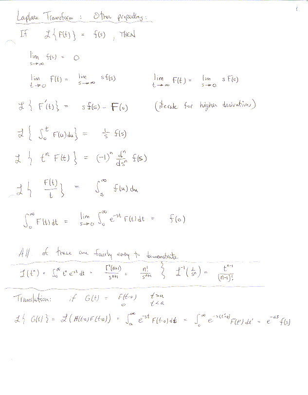
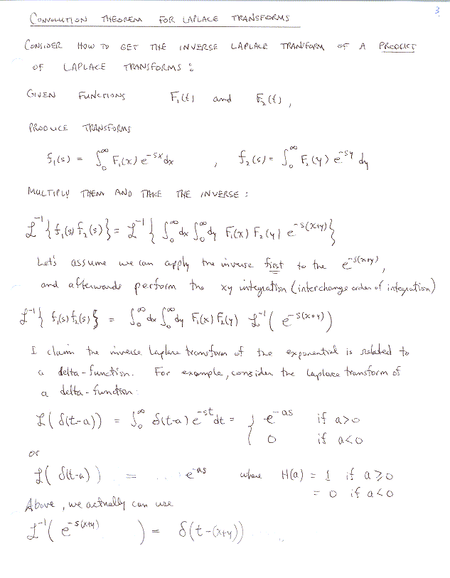
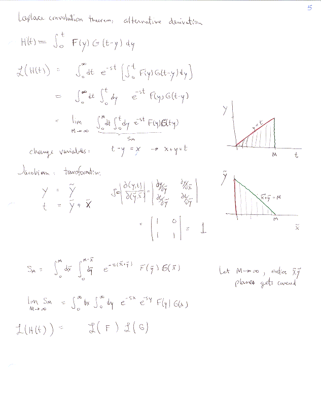
Laplace Transforms: Other Properties and Notes