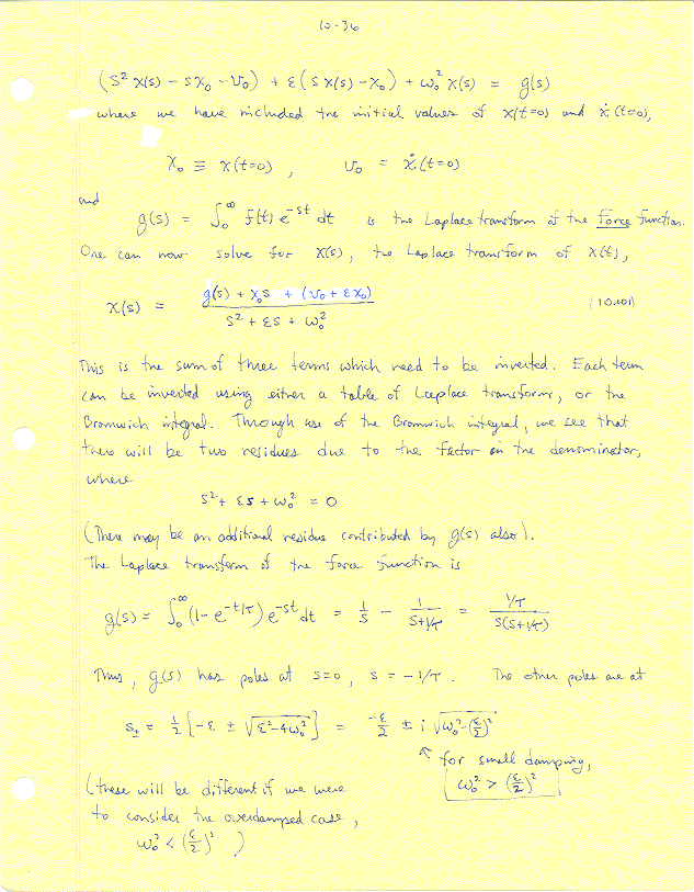
Laplace Transforms: Solution of Initial Value Problems