Tensors and Coordinates

contra- and covariant- vectors,

second rank, direct product,

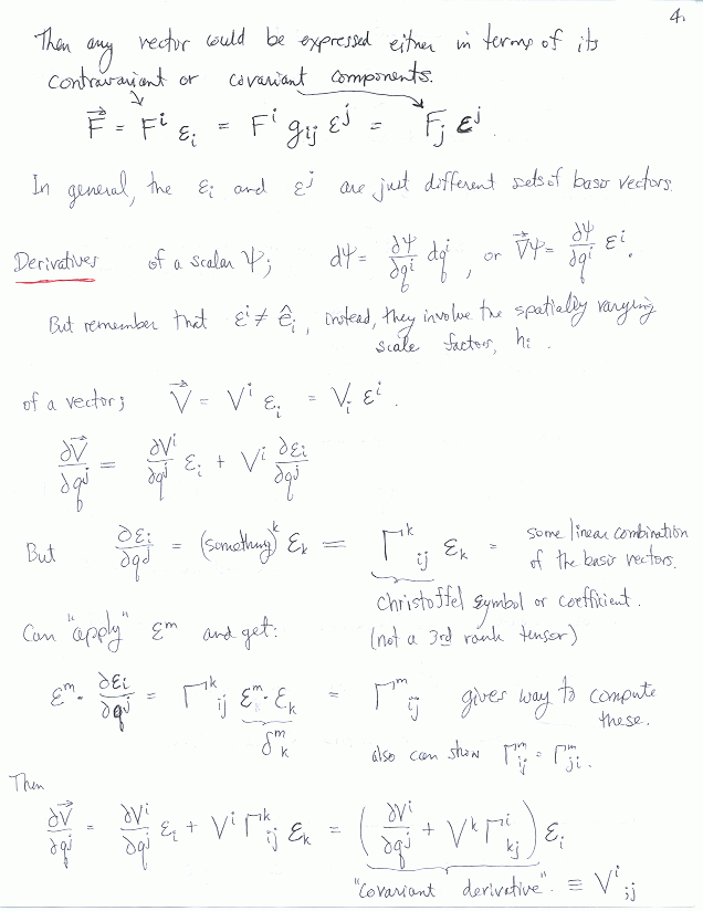
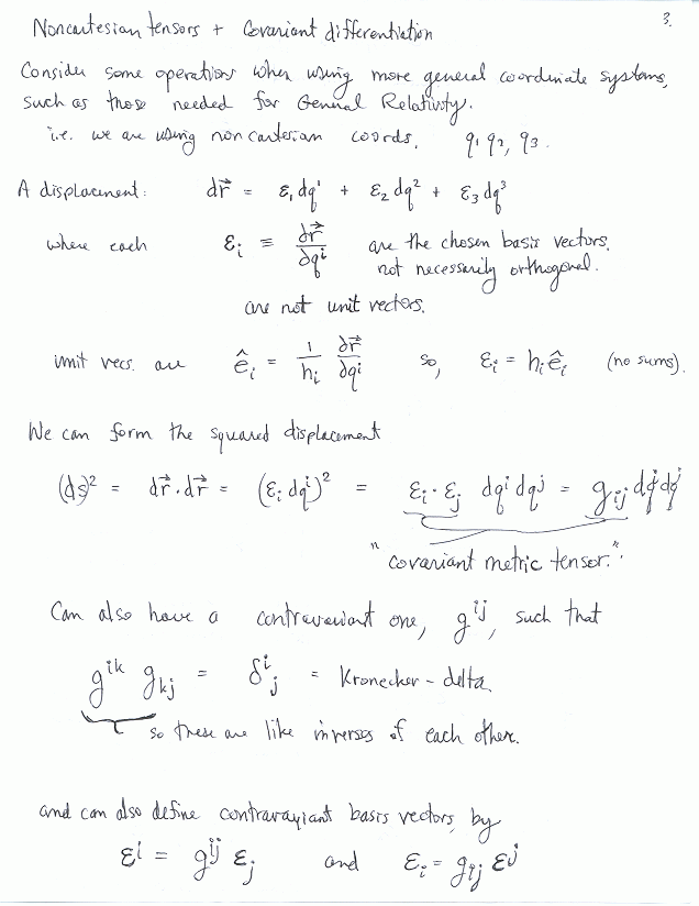
basis vectors, metric tensor,

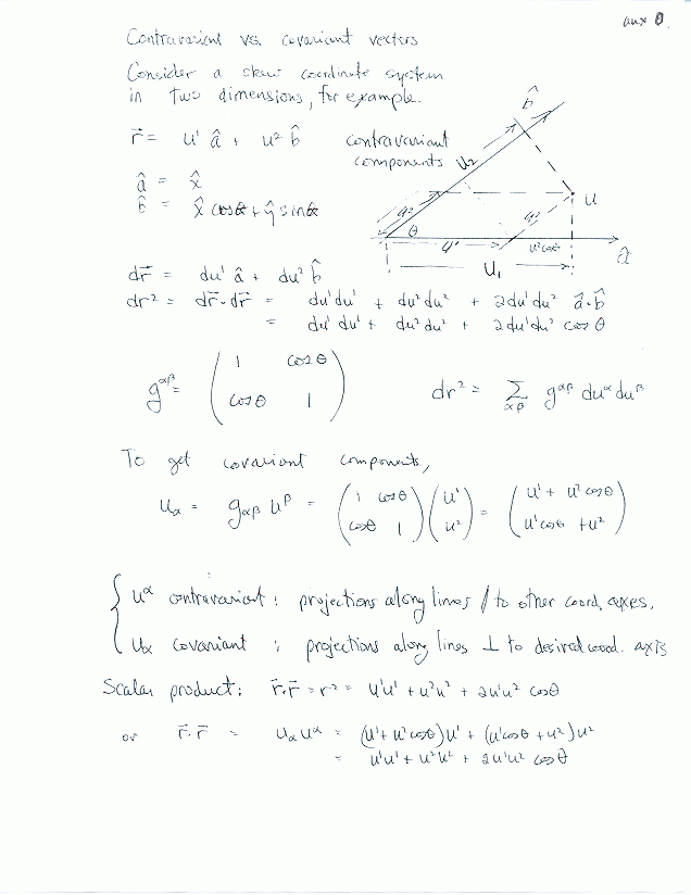
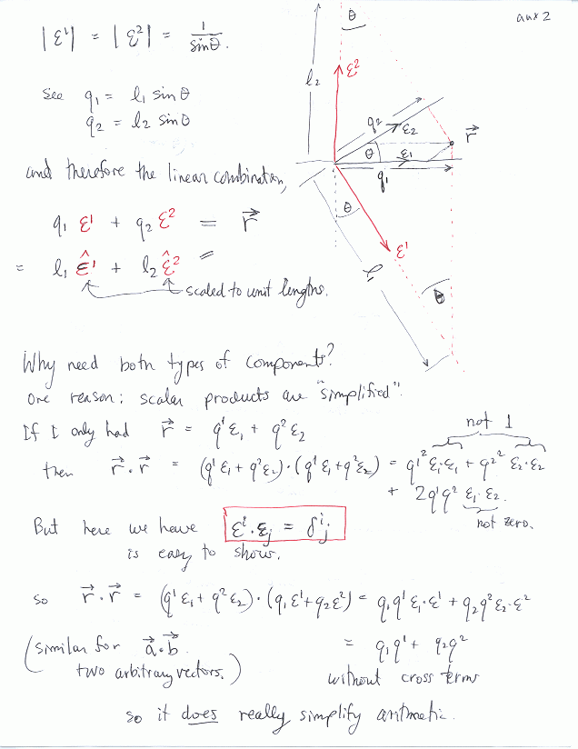
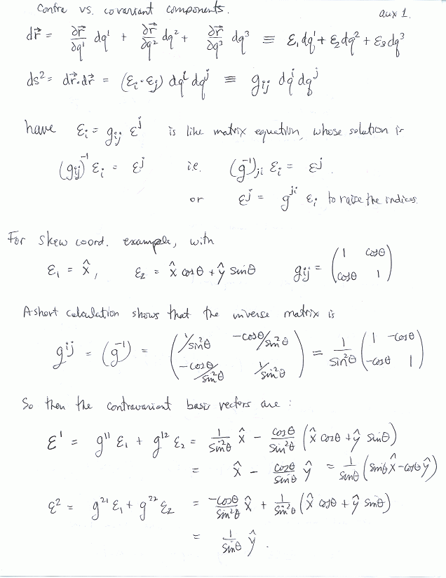
example: contra- vs. co- variant components,

example: gij and gij,

example: the contra- and co- variant basis,

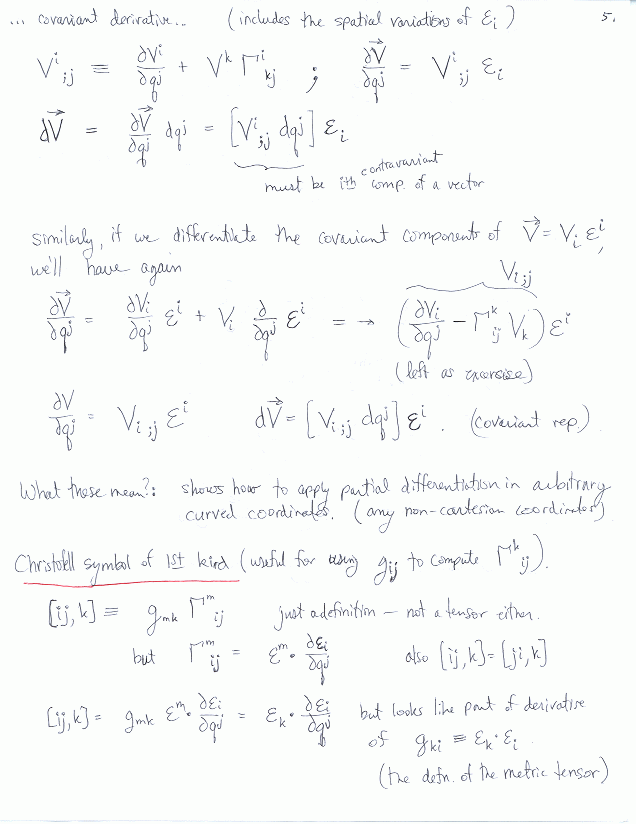
covariant derivatives, coefficient of connection (Gamma),

derivatives, Christofell symbols,

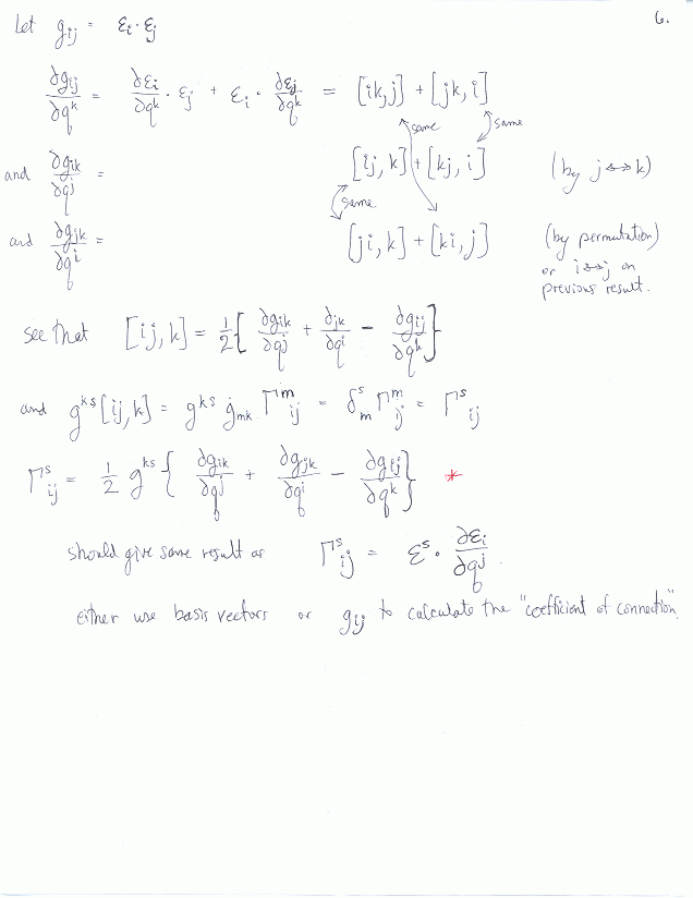
Gamma from metric tensor,

covariant divergence,

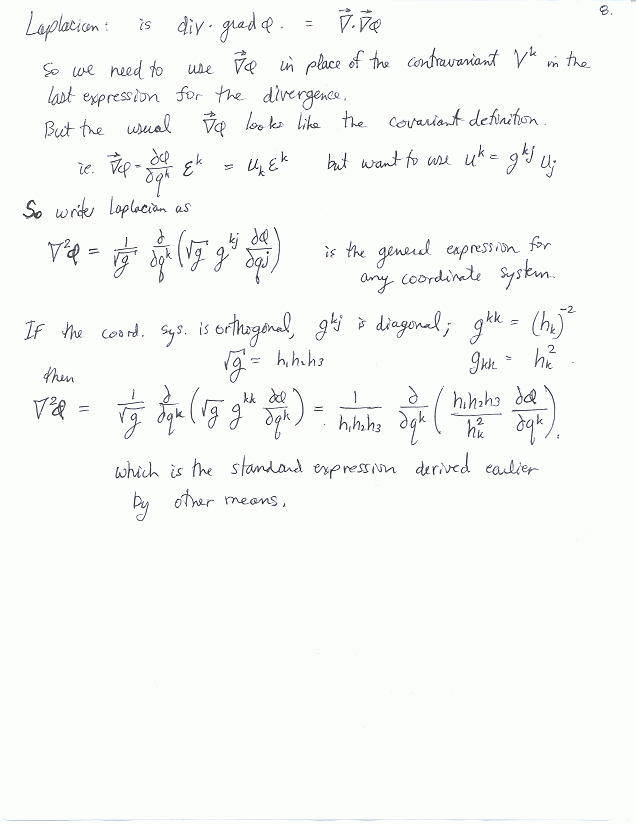
covariant Laplacian,