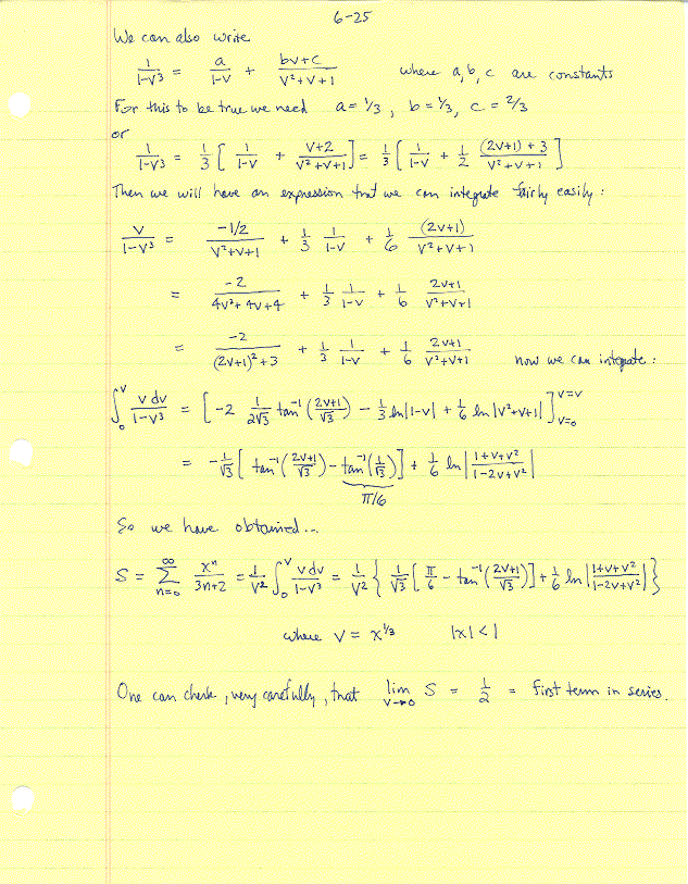
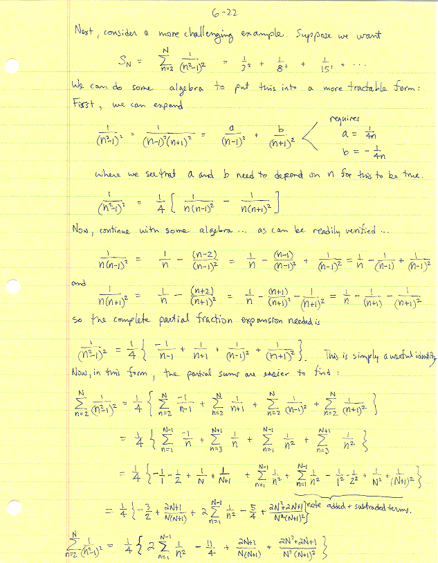
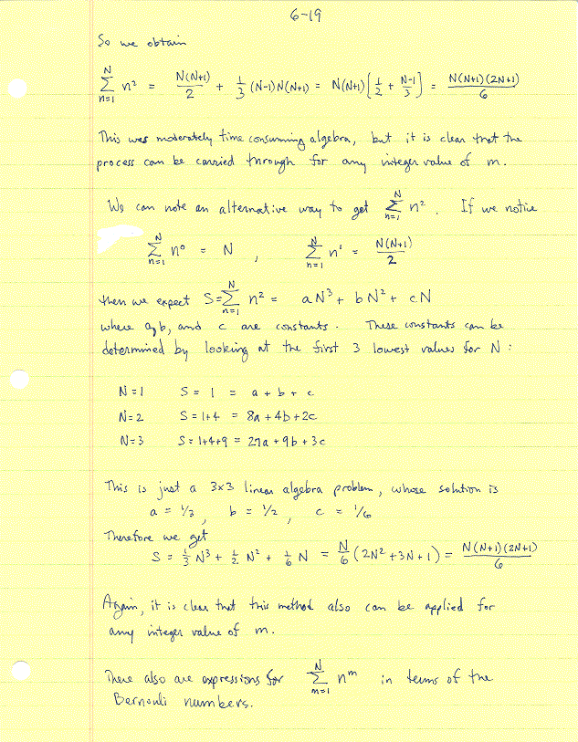
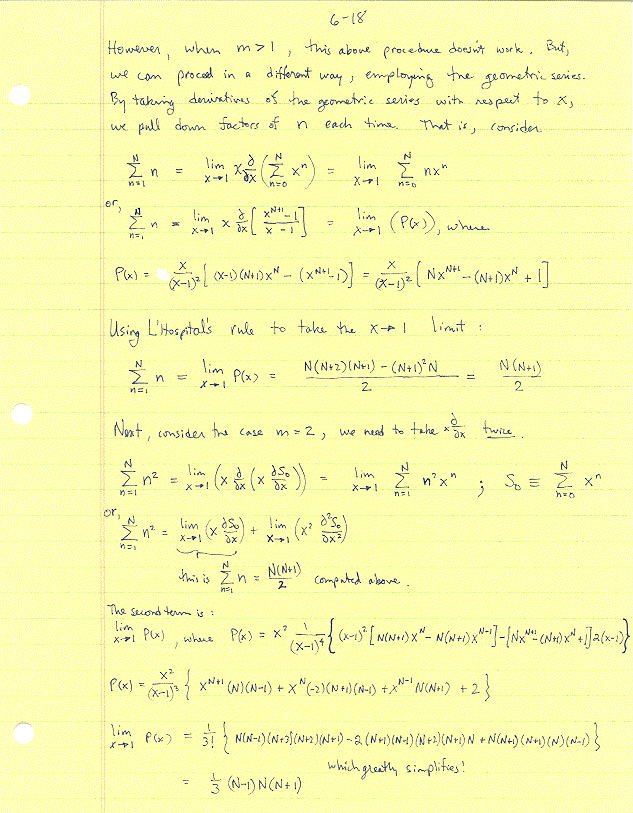
Evaluation of Finite and Infinite Sums, Partial Fractions, Integrations