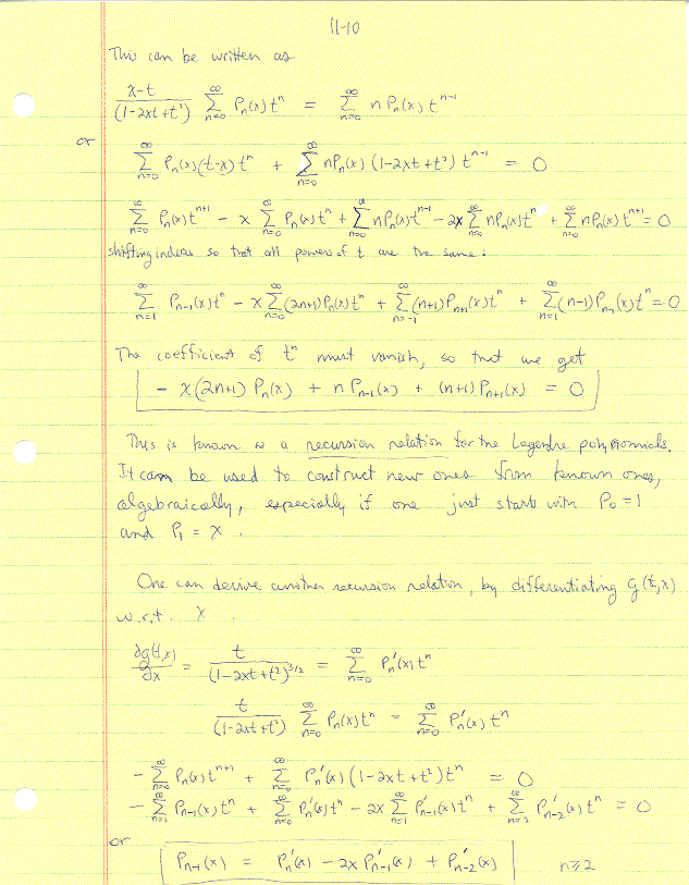
Generating Function and Recursion Relations