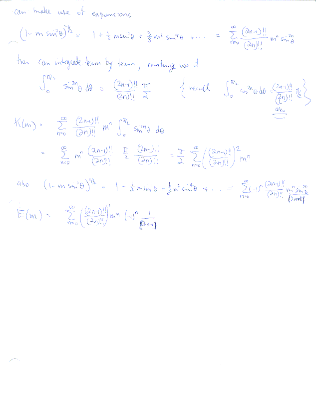
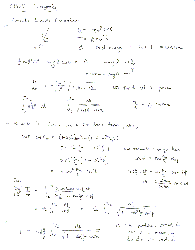
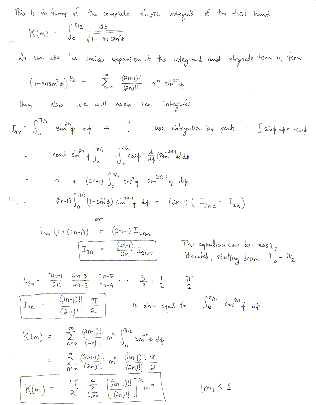
Elliptical Integrals and Functions