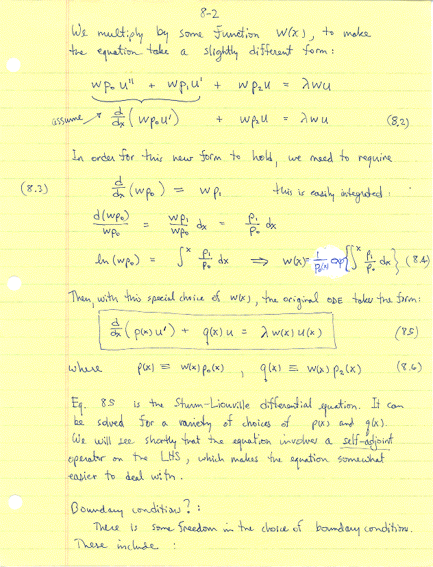
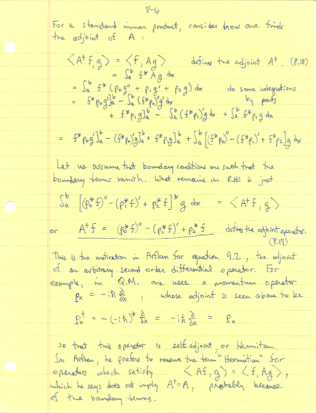
Self-Adjoint 2nd Order ODEs, Inner Products, Eigenvalue Problems, Expansion of Functions.