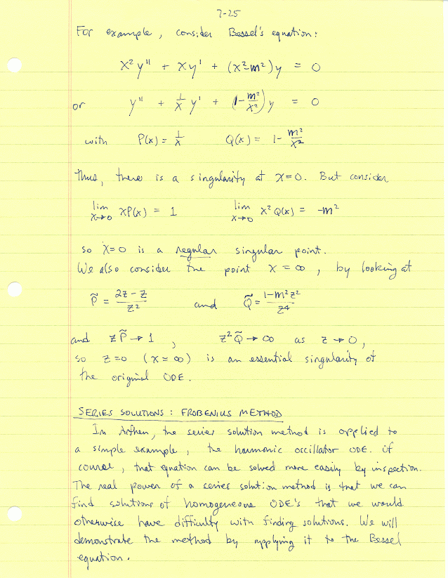
Frobenius Series Solutions of Ordinary Differential Equations