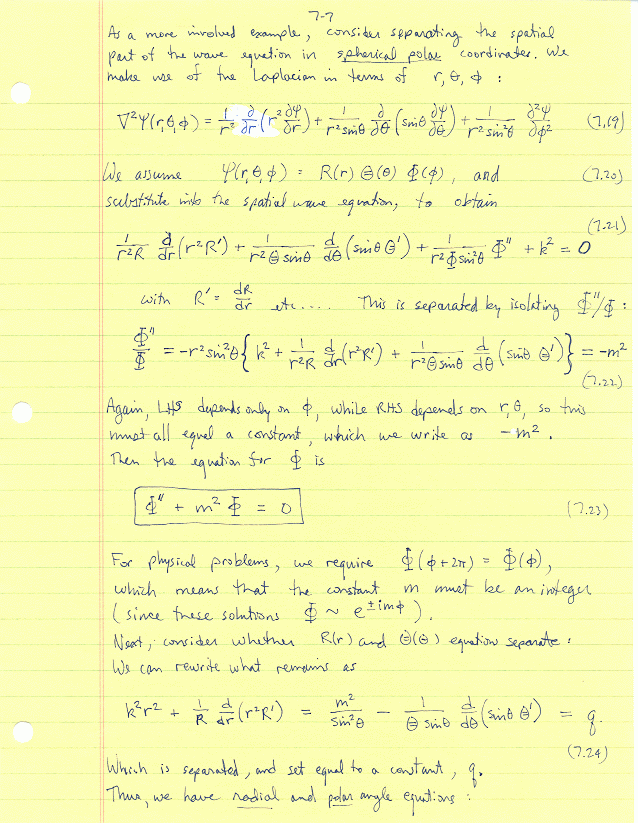
Partial Differential Equations, Separation of Variables