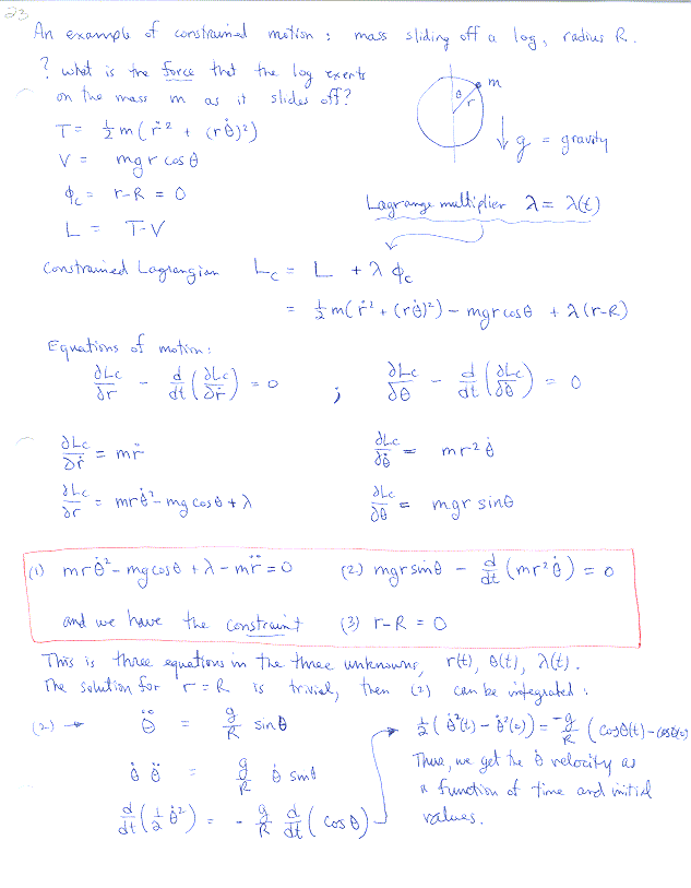
Applications in Classical Mechanics