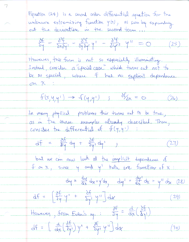
Statement of some Famous Extremum Problems, Euler-Lagrange Eqns. for 1 Dependent Variable