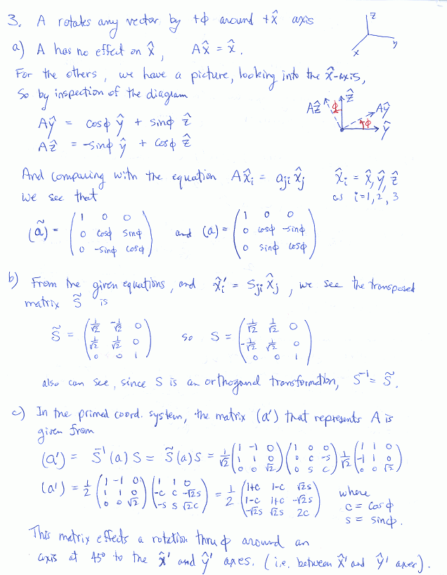
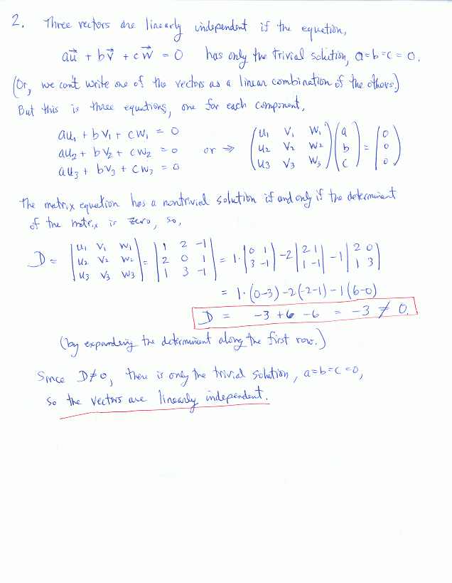
Midterm Solution: