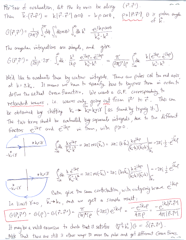
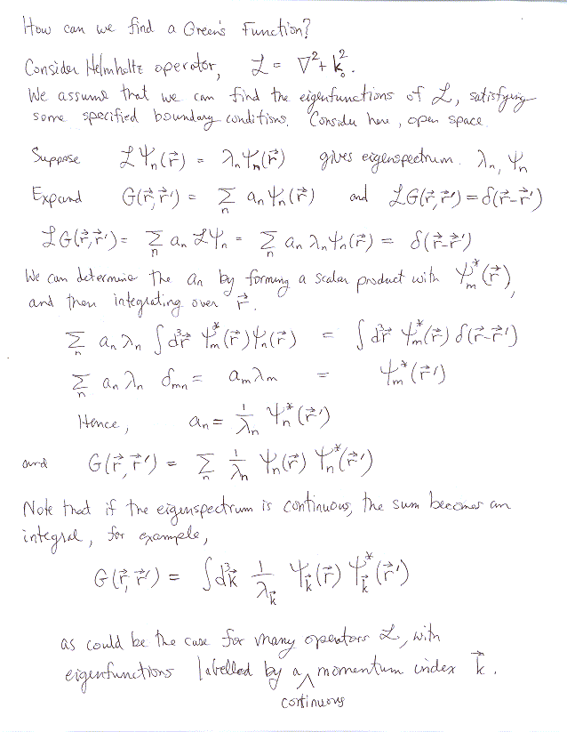
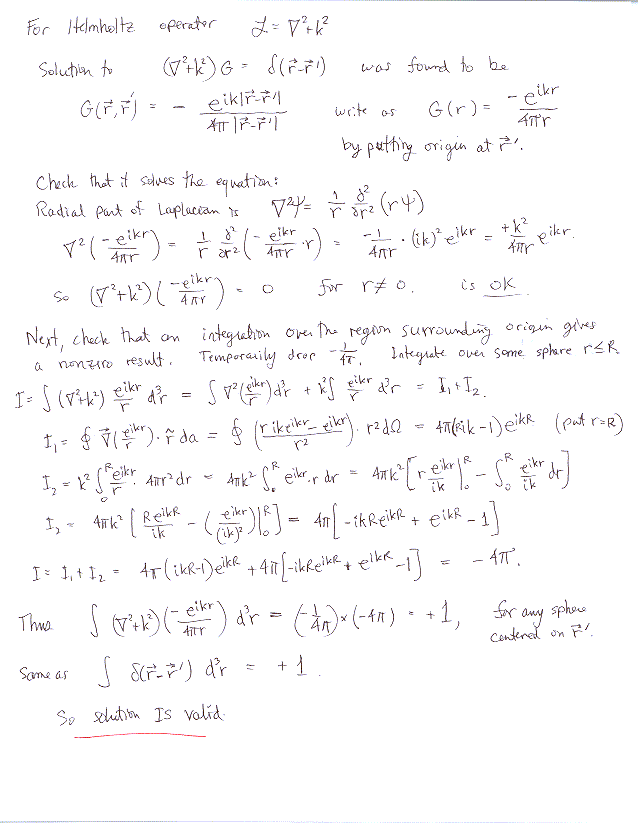
Using Green's functions to solve ODE's.