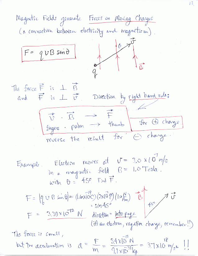
click for next page