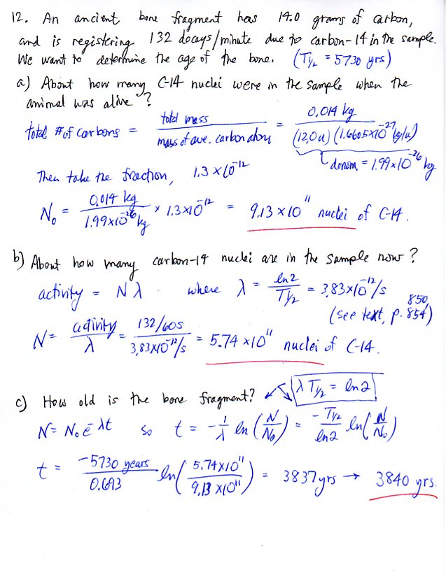
Review for Exam 5, Chapters 30 & 31 -- Nuclear Physics.