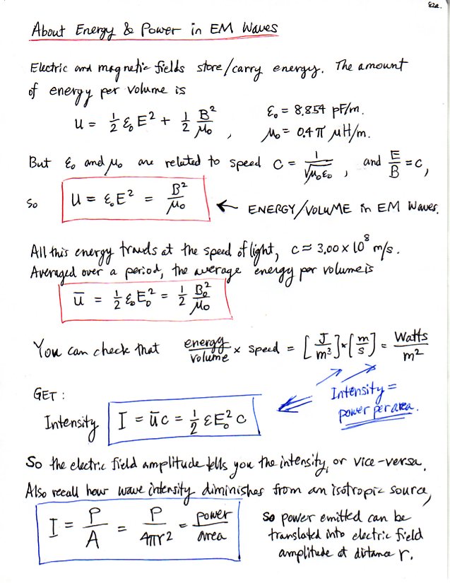
Electromagnetic Waves