Engineering Physics II, Physics 214, 224 (Gary Wysin)
Kansas State University, Fall 2003.
Office Hours (CW 309):
Wednesdays, 11:30-12:20, 2:00-4:00.
Fridays, 11:30-12:20, 2:00-4:00 on exam days.
Lecture Notes
Here I've summarized some of the notes from lectures, as well as
other important parts that may have been only briefly discussed.
Chapter numbers are from Halliday, Resnick and Walker, 6th edition.
Make sure you know what to do with the important formulas,
the meanings of the symbols, etc!!
- Week 1. Ch. 22 -- Electric Charge, Coulomb's Force Law
- Week 2. Ch. 23 -- Electric fields <-- point charges
- Week 2. Ch. 23 -- Electric fields <-- charge distributions
- Week 2. Ch. 23 -- Electric Dipoles; torque and energy
- Week 3. Ch. 24 -- Gauss' Law <-- Electric Flux, cylindrical symmetry
- Week 3. Ch. 24 -- Gauss' Law, charged isolated conductor
- Week 4. Ch. 24 -- Gauss' Law, planar symmetry
- Week 4. Ch. 24 -- Gauss' Law, spherical symmetry
- Week 4. Ch. 25 -- Electric Potential, potential energy
- Exam 1 Equation Sheet.
- Exam 1 Solution.
- Week 5. Ch. 25 -- Potential, various charge distributions, charged conductors, finding E from V, etc.
- Week 5. Ch. 26 -- Storing energy and charge in Capacitors
- Week 6. Ch. 27 -- Current and Resistance
- Week 6. Ch. 28 -- Electric Circuits, single loops
- Week 7. Ch. 28 -- Multi-loop Circuits, Capacitive charging/discharging
- Exam 2 Equation Sheet.
- Exam 2 Solution.
- Week 7. Ch. 29 -- Magnetic fields --> forces on moving charges (Lorentz Force Law)
- Week 8. Ch. 29 -- Magnetic fields --> forces and torques on currents
- Week 8. Ch. 30 -- Generation of magnetic fields by currents (Biot-Savart Law)
- Week 9. Ch. 30 -- Generation of magnetic fields by currents (Ampere's Law)
- Week 10. Ch. 31 -- Electromagnetic Induction (Faraday's Law)
- Week 10. Ch. 31 -- Inductors, RL circuits, magnetic energy
- Exam 3 Equation Sheet.
- Exam 3.
- Exam 3 Solution.
- Week 11. Ch. 32 -- Magnetic Materials, Maxwell's EM Equations
- Week 11. Ch. 33 -- Electromagnetic oscillations--LC circuits
- Week 12. Ch. 33 -- Alternating Current--RLC circuits
- Week 12. Ch. 33 -- AC Resonance, AC Power in circuits
- Week 13. Ch. 34 -- Electromagnetic Waves--frequency, wavelength, intensity, polarization
- Week 13. Ch. 34 -- EM Waves--Reflection, refraction, chromatic and polarization effects.
- Exam 4 Equation Sheet.
- Exam 4.
- Exam 4 Solution.
- Week 14. Ch. 35 -- Image formation by reflection, mirrors, and refraction
- Week 14. Ch. 35 -- Spherical refracting surfaces, lenses, optical instruments
- Week 15. Ch. 36 -- Wave properties of light--interference
- Week 16. Ch. 36 -- Interference from thin films
- Week 16. Ch. 37 -- Diffraction of light
- Exam 5 Equation Sheet.
- Exam 5.
- Exam 5 Solution.
- Week 17. Ch. 39 -- Quantum physics--photons, matter waves
- Sample Final Exam problems.
- Sample Final Exam solutions (Hey, work the problems first before looking here.)
- Final Exam Equation Sheet.
- Final Exam is Friday, Dec. 19, 7:30 -- 9:20 a.m., CW 101.
- Final Exam.
- Final Exam Solution.
- 20 points were added to the raw final exam scores to give a median of 143/200.
Studio Quizzes
- Sep. 24. Quiz 9 (capacitor with dielectric).
Quiz 9 solution
- Sep. 26. Quiz 10 (equivalent resistance and simple circuit).
Quiz 10 solution
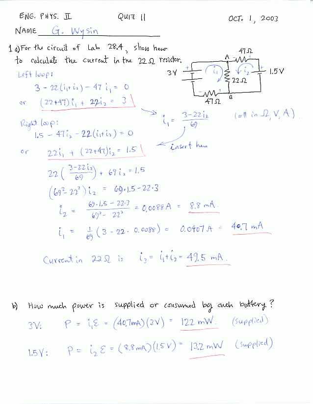
- Oct. 1. Quiz 11 (two loop Kirchhoff circuit).
Quiz 11 solution
- Oct. 3. Quiz 12 (capactive charging/discharging circuit).
Quiz 12 solution
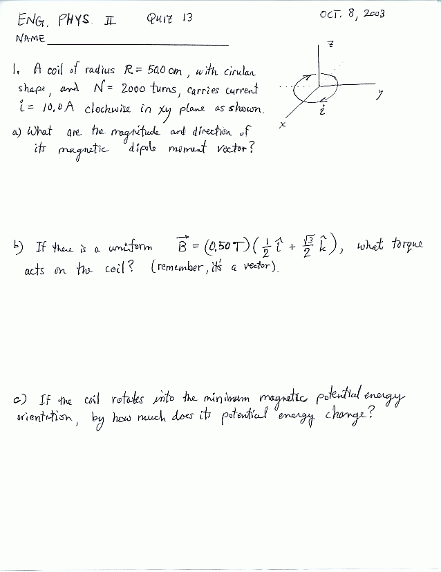
- Oct. 8. Quiz 13 (torque and energy of a current loop).
Quiz 13 solution
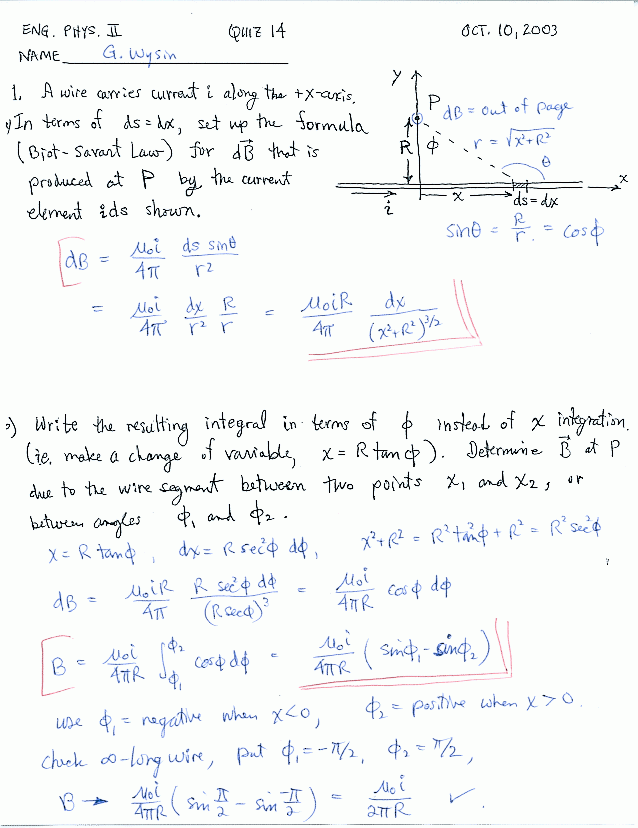
- Oct. 10. Quiz 14 (Biot-Savart calculation of B for a wire segment).
Quiz 14 solution
- Oct. 17. Quiz 15 (Ampere's Law and B inside a conductor).
Quiz 15 solution
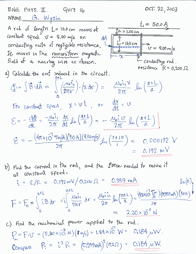
- Oct. 22. Quiz 16 (Electromagnetic induction in a moving rod).
Quiz 16 solution
- Oct. 24. Quiz 17 (An RL circuit and inductor effects).
Quiz 17 solution
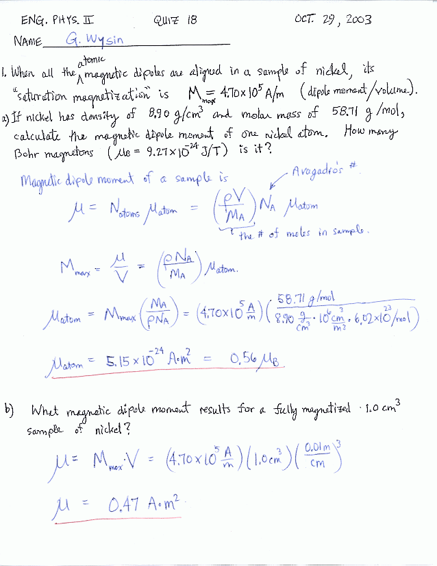
- Oct. 29. Quiz 18 (Nickel Magnetization, Atomic magnetic moment).
Quiz 18 solution
- Oct. 31. Quiz 19 (LC circuit frequency and energy).
Quiz 19 solution
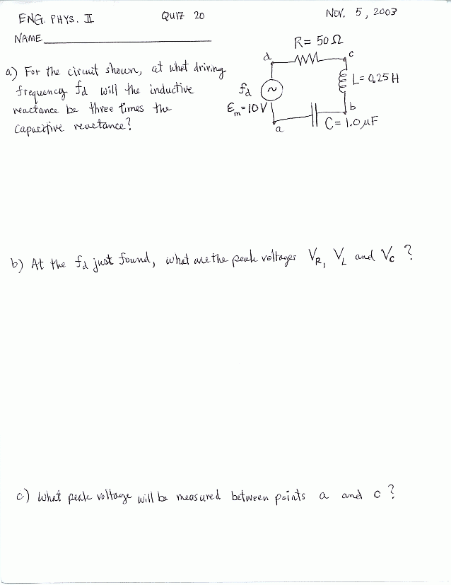
- Nov. 5. Quiz 20 (driven RLC circuit).
Quiz 20 solution
- Nov. 7. Quiz 21 (power in RL light dimmer circuit).
Quiz 21 solution
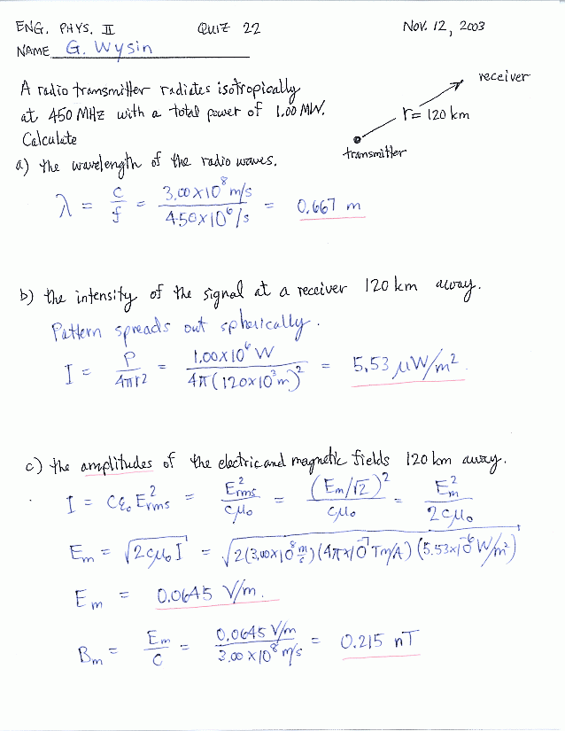
- Nov. 12. Quiz 22 (typical EM waves properties).
Quiz 22 solution
- Nov. 14. Quiz 23 (refraction by a prism).
Quiz 23 solution
- Nov. 19. Quiz 24 (image formation by a mirror).
Quiz 24 solution
- Nov. 21. Quiz 25 (image formation by a lens combination).
Quiz 25 solution
- Dec. 3. Quiz 26 (interference and Young's double slits).
Quiz 26 solution
- Dec. 5. Quiz 27 (thin film reflection interference).
Quiz 27 solution
- Dec. 10. Quiz 28 (photoelectric effect).
Quiz 28 solution
Thanks for your Attention and Interest!!
Happy Holidays and Happy Life!
Other Links At KSU
[Error Creating Counter File]
access since 2006/02/09.
Last update: Thursday February 09 2006.
email to -->
wysin@phys.ksu.edu