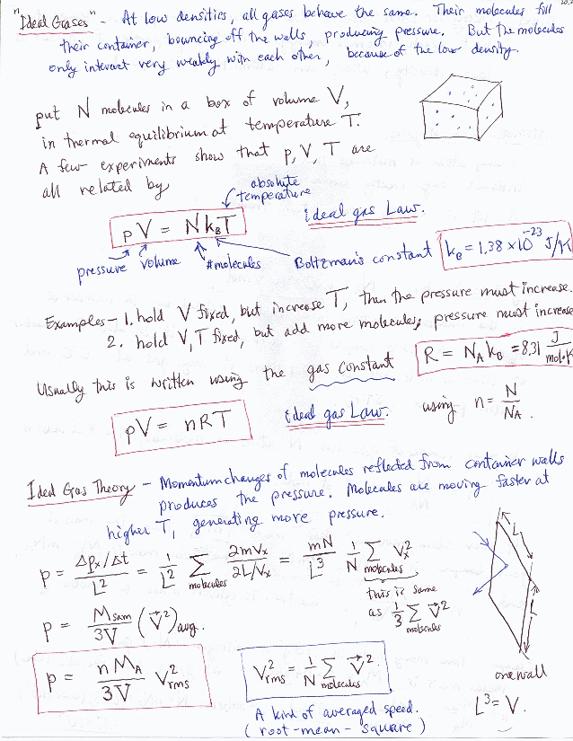
click for next pages