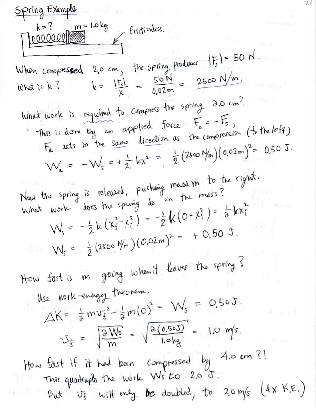
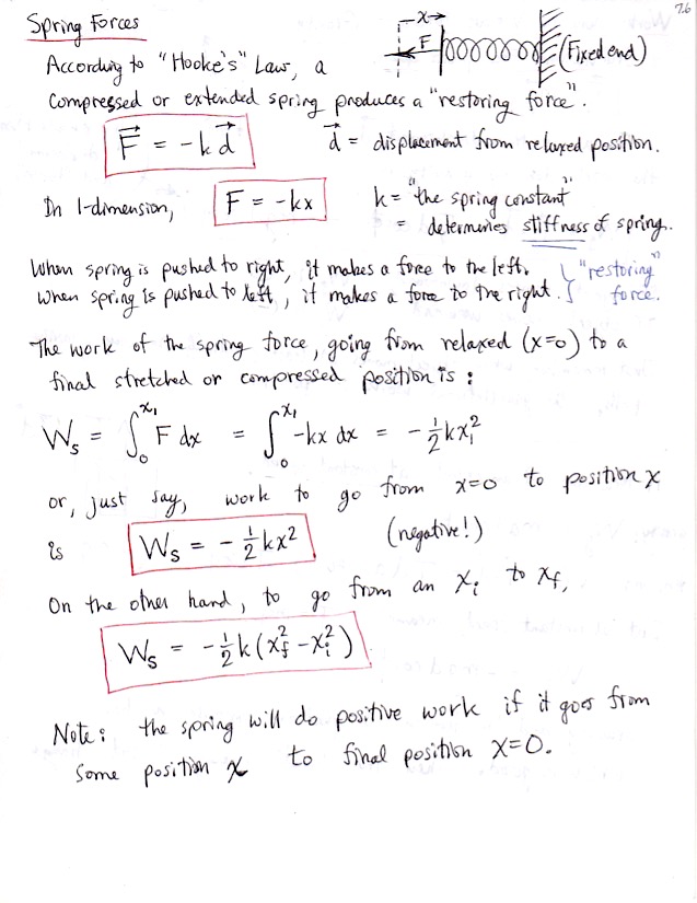
click for next pages