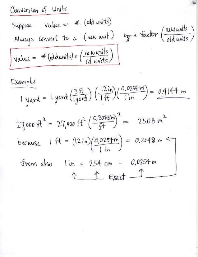
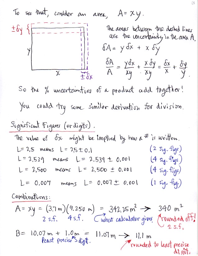
Measurements, Units, Uncertainties








click for next pages