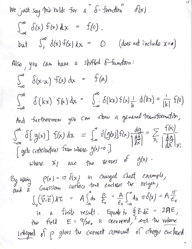
Week 2. Electric fields and flux from charges, Gauss' Law, curvy coordinates, 1D delta-functions.

click for next pages