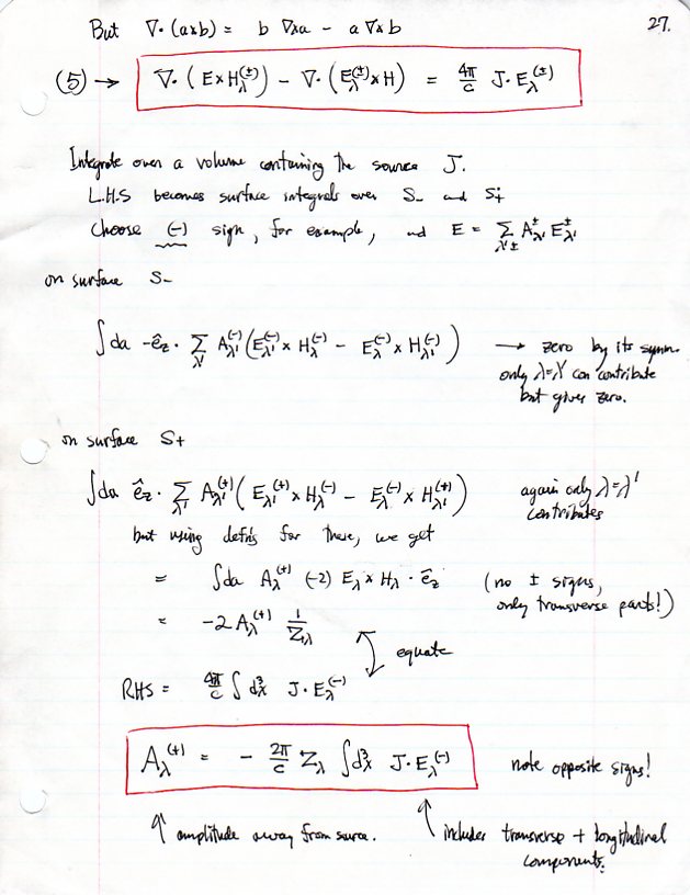
Guided Waves (Jackson, Ch. 8, CGS)
Generation of Modes in Waveguides and Cavities due to Sources