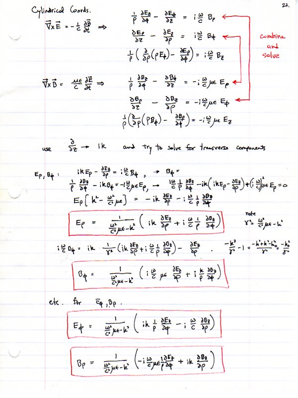
Guided Waves (Jackson, Ch. 8, CGS)
Dielectric Wave Guides (Fiber Optics)