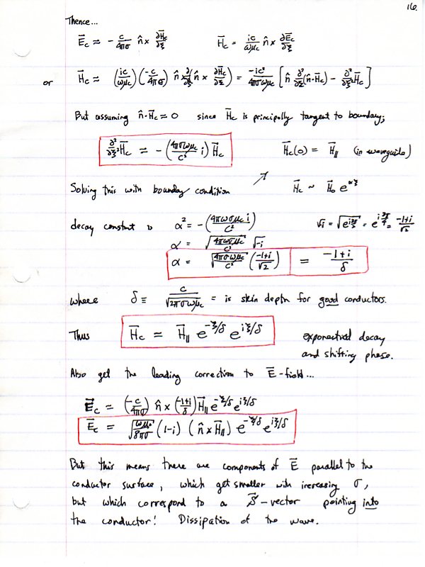
Guided Waves (Jackson, Ch. 8, CGS)
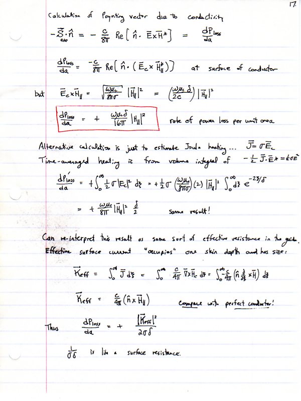
Damping of Modes in Waveguides and Cavities