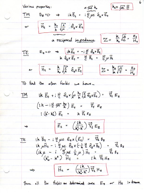
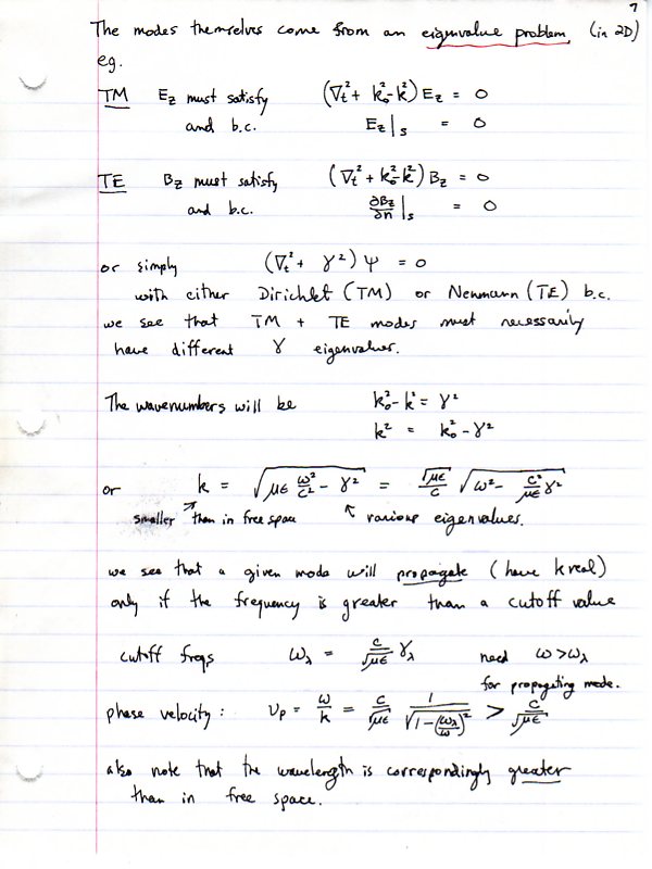
Guided Waves (Jackson, Ch. 8, CGS)
Transverse Electric and Transverse Magnetic Modes in Cylindrical Wave Guides.